Предмет: Математика,
автор: Артёмshoemaxer
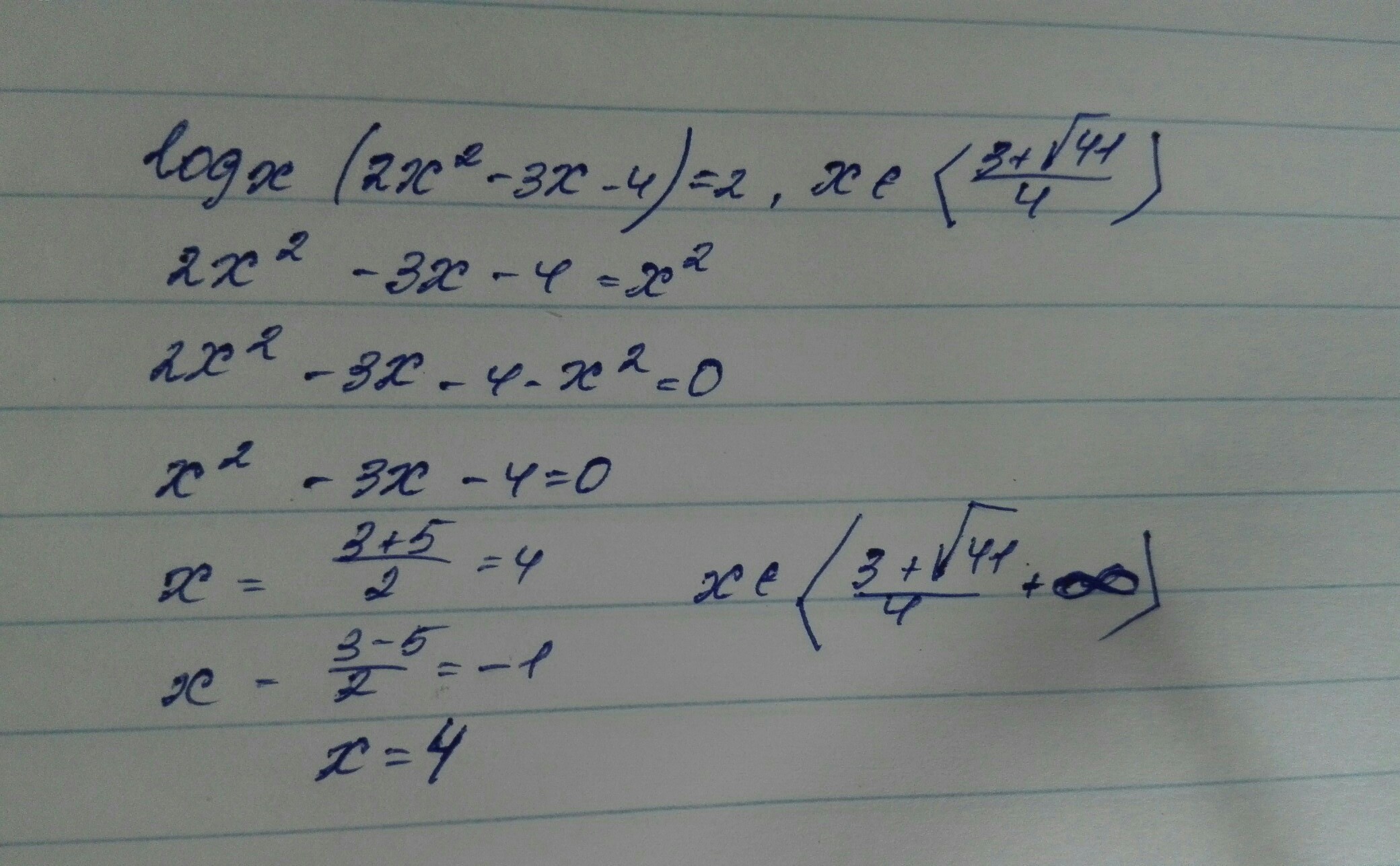
Ребята выручайте надо срочно прям пипец как.Даю 20 баллов.Что-то не видно спрашивайте в комментах.Заранее благодарю от души
Приложения:
Ответы
Автор ответа:
1
Хотя бы что-то. Не умирайте :с
Приложения:
Похожие вопросы
Предмет: География,
автор: Аноним
Предмет: Биология,
автор: nikulinanika
Предмет: Алгебра,
автор: boomb123ksusska
Предмет: Математика,
автор: 521323
Предмет: Биология,
автор: RadioCat1