Предмет: Информатика,
автор: Irinaguzanova
определите число переменной а
Приложения:
Ответы
Автор ответа:
0
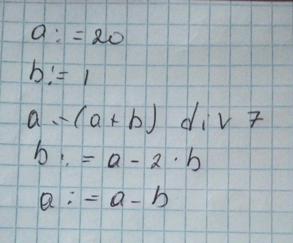
a:=20, b:=1
a:=(20+1) div 7 - div это деление, в результат которого берется только целая часть, т.е. 21/7=3
b:=3-2*1 , соответственно b будет равно 1
a:=3-1, соответственно а будет равно 2.
Ответ: 2.
a:=(20+1) div 7 - div это деление, в результат которого берется только целая часть, т.е. 21/7=3
b:=3-2*1 , соответственно b будет равно 1
a:=3-1, соответственно а будет равно 2.
Ответ: 2.
Irinaguzanova:
спс большое, а можно еще один
Похожие вопросы
Предмет: Информатика,
автор: zaripovr607
Предмет: История,
автор: luizats2195
Предмет: Математика,
автор: Awakenings5393
Предмет: Математика,
автор: Аноним
Предмет: Литература,
автор: Ридал