Предмет: Геометрия,
автор: Sima111vhvy
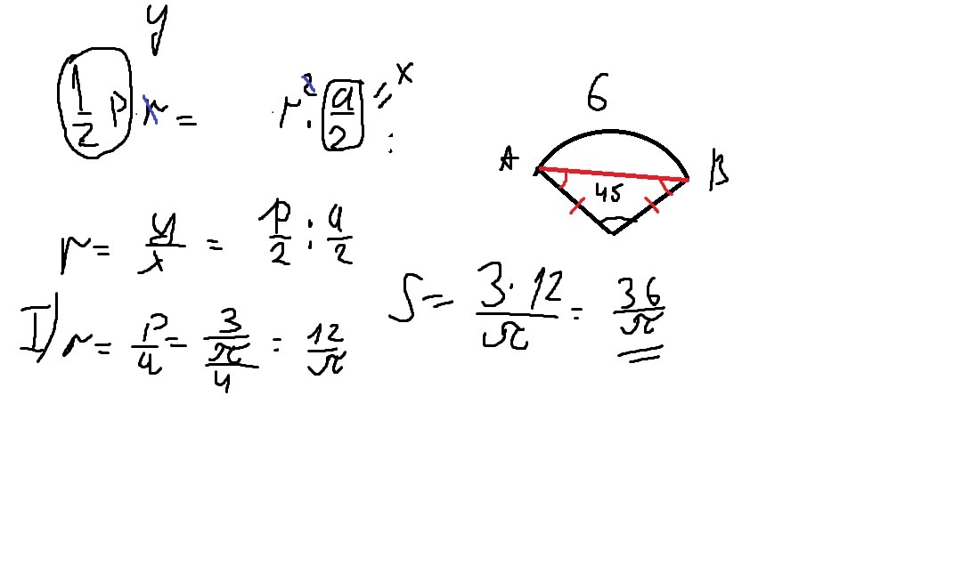
Длинна дуги сектора равна 6 см, угол сектора равен 45°. Найдите площадь сектора.
AttackerOff:
А нету радиуса?
сек
нет
Ответы
Автор ответа:
0
Я решил его (не знаю , верно ли это)
Приложения:
Похожие вопросы
Предмет: Математика,
автор: Annabogdanova45
Предмет: История,
автор: annamikianna123321
Предмет: Математика,
автор: angelsorokoumova7
Предмет: Математика,
автор: Leonidwall
Предмет: Математика,
автор: nastya415