Предмет: Математика,
автор: Otlichnik1704
Решить уравнение срочно
Приложения:
LimitsPro:
Вам рассказывали о домножении?
да
Ответы
Автор ответа:
0
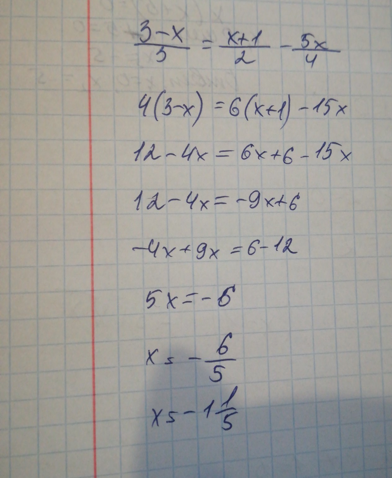
Вот решение должно быть правильным
Приложения:
Похожие вопросы
Предмет: История,
автор: ivankastefura
Предмет: Химия,
автор: homkasapka
Предмет: Українська мова,
автор: rubetna5
Предмет: Математика,
автор: настя3539
Предмет: Физика,
автор: 111АнАсТаСиЯ11111234