Предмет: Алгебра,
автор: lopopo09
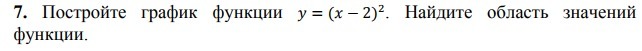
ПОМОГИТЕ ПОЖАЛУЙСТА СРОЧНО!!!!!!!Постройте график функции
y=(x-2)2 Найдите область значений функции. С ПОДРОЮНЫМ РЕШЕНИЕМ ПОЖАЛУЙСТА
Приложения:
Ответы
Автор ответа:
0
Кривовато, но думаю ты поймёшь
Приложения:
Похожие вопросы
Предмет: Литература,
автор: Аноним
Предмет: Алгебра,
автор: andrijperasov
Предмет: История,
автор: Аноним
Предмет: Литература,
автор: Аноним
Предмет: Литература,
автор: томирис20