Предмет: Алгебра,
автор: Ленка1325
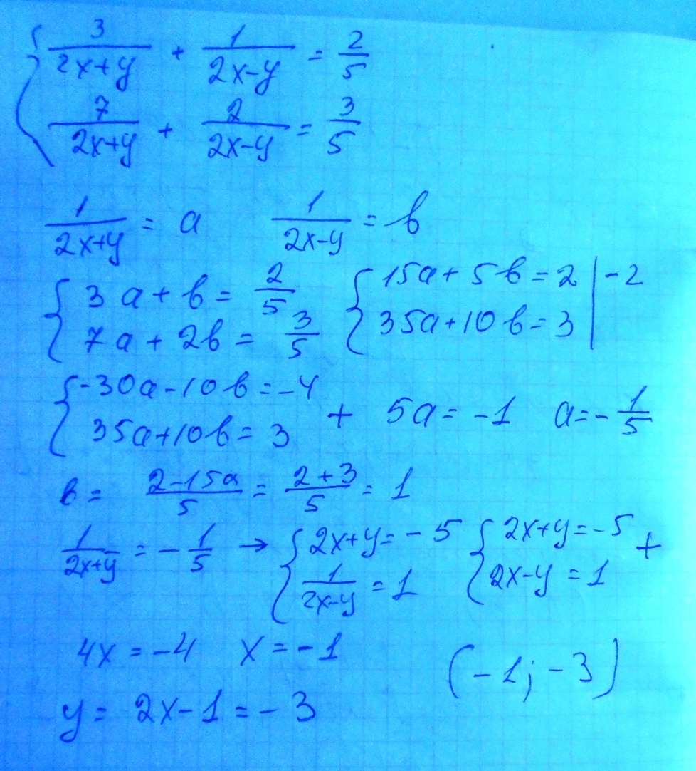
{█(3/(2x+y)+1/(2x-y)=2/5@7/(2x+y)+2/(2x-y)=3/5)┤
Решите пожалуйста систему уравнений задание добавляю в виде документа, прошу очень надо.
Приложения:
Ответы
Автор ответа:
2
!!!!!!!!!!!!!!!!!!!!!!!!
Приложения:
Похожие вопросы
Предмет: Химия,
автор: slavinarrr
Предмет: История,
автор: emillohpopusk
Предмет: Обществознание,
автор: belaevat312
Предмет: Физика,
автор: hiophio