Предмет: Алгебра,
автор: milauser
РЕШИТЕ ПОЖАЛУЙСТА СРОЧНО СИСТЕМУ УРАВНЕНИЙ ЗА 9 КЛАСС
40 БАЛЛОВ
Приложения:
Ответы
Автор ответа:
1
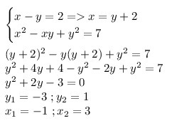
Ответ: (-1;-3) , (3;1)
Приложения:
Похожие вопросы
Предмет: Математика,
автор: gilmutdinove7
Предмет: Українська література,
автор: lysenkoulana1
Предмет: Математика,
автор: Аноним
Предмет: Алгебра,
автор: Аноним
Предмет: Алгебра,
автор: Fait12312