Предмет: Математика, автор: Scout666

Как получили корни в данном уравнении?
Прошу объяснить подробно

Приложения:

Ответы

Автор ответа: Liamus
1
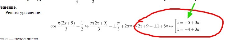
2x+9= \pm 1
+6n\Rightarrow 2x=\left[\begin{array}{c}1-9+6n,\\-1-9+6n,\end{array}\right.
=\left[\begin{array}{c}-8+6n,\\-10+6n,\end{array}\right.\Rightarrow \\\Rightarrow x=\left[\begin{array}{c}-4+3n,\\-5+3n,\end{array}\right.n\in\mathbb{Z}.
Похожие вопросы
Предмет: Математика, автор: Аноним
Предмет: Геометрия, автор: mariasteblo
Предмет: Қазақ тiлi, автор: syngyskasymbek74
Предмет: Математика, автор: nikitos22222222