Предмет: Алгебра,
автор: nool000
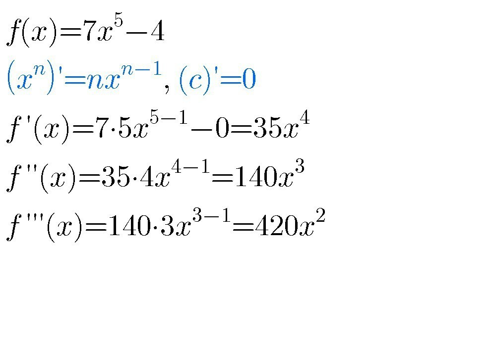
найти производные:
7x^5-4
Ответы
Автор ответа:
0
Производные показаны выше.
Приложения:
Похожие вопросы
Предмет: Геометрия,
автор: esip7195
Предмет: Математика,
автор: quality103
Предмет: Английский язык,
автор: artemdomarev9
Предмет: География,
автор: Меп1