Предмет: Математика,
автор: Настя1056е
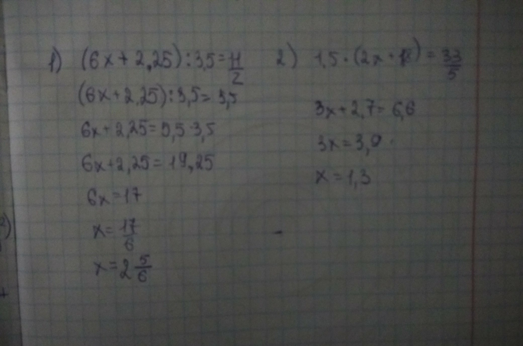
Помогите пожалуйста решить уравнения.
1) (6х+2,25):3,5=1 1/2
2) 1,5•(2х+1,8)=3 3/5
Ответы
Автор ответа:
0
Смотри на фотографии
Приложения:
Похожие вопросы
Предмет: Английский язык,
автор: artemdomarev9
Предмет: Русский язык,
автор: temat4998
Предмет: Математика,
автор: Аноним
Предмет: Математика,
автор: ната311
Предмет: Алгебра,
автор: Angelinka2103