Предмет: Математика,
автор: Sofiaivashina1002
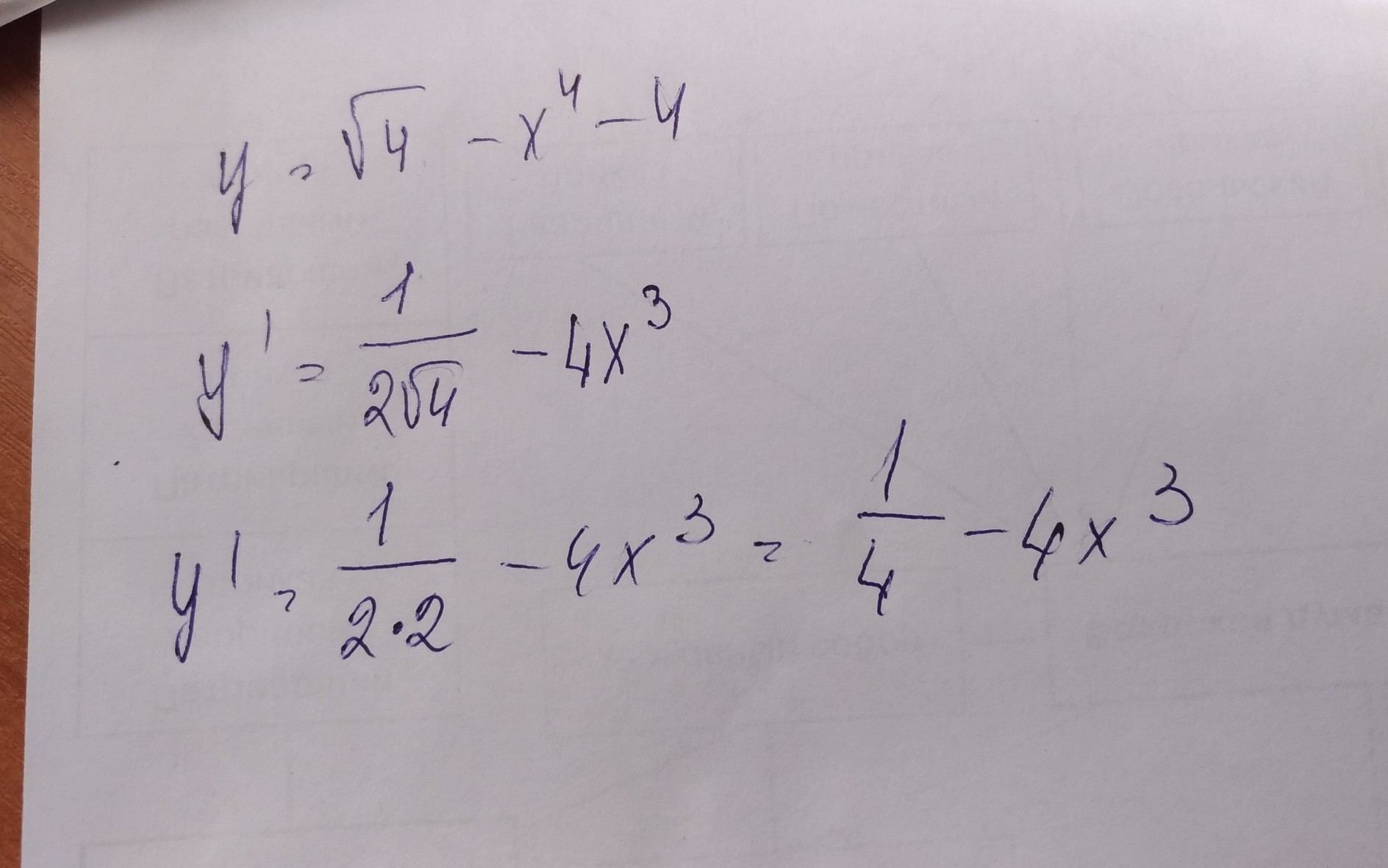
найдите производную функции y=√4 - x^4 - 4
ПрофиЗнания:
корень до конца?
нет
напишите решение пожалуйста
корень до куды?
√4.
тогда выходит что 2-x^4-4=-x^4-2
Ответы
Автор ответа:
3
Решение во вложении
Приложения:
Похожие вопросы
Предмет: Русский язык,
автор: tileulievaaika
Предмет: Физика,
автор: svetaa3377
Предмет: Геометрия,
автор: Malinysik
Предмет: Математика,
автор: Про100Маринал
Предмет: Литература,
автор: аня1526