Предмет: Алгебра,
автор: Faking666
Помогите срочно!!!!!
К 30кг сплава золота и серебра подмешали 20кг золота. Найдите концентрацию серебра в получившемся сплаве, если первоначально сплав содержал 50% золота? Срочно помогите пж
Ответы
Автор ответа:
0
30 кг - 100 %
15 кг золота - 50 %
100 - 50 = 50 % = 15 кг срібла.
30+20=50 кг
15/(50/100)=15/0,5=7,5 % - концентрація срібла в отриманому вкінці сплаві
15 кг золота - 50 %
100 - 50 = 50 % = 15 кг срібла.
30+20=50 кг
15/(50/100)=15/0,5=7,5 % - концентрація срібла в отриманому вкінці сплаві
Автор ответа:
0
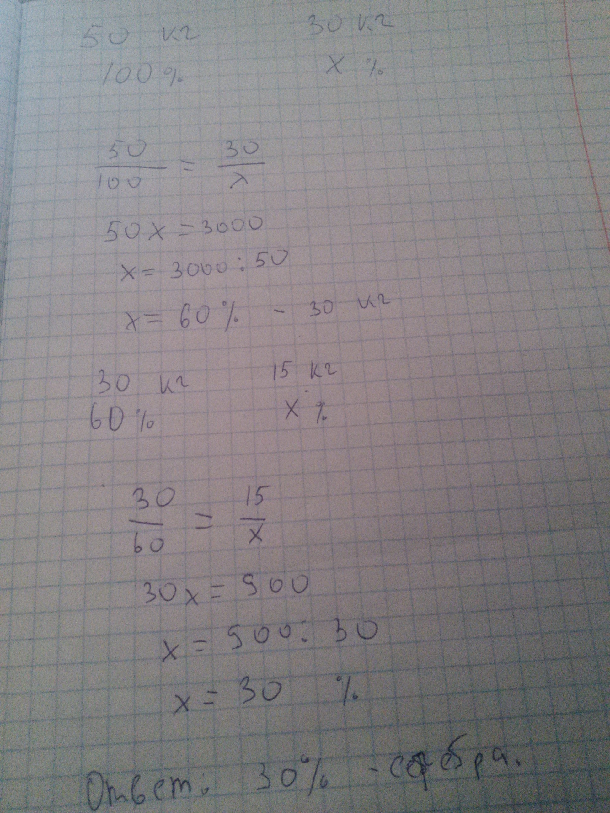
Вроде как-то так !!!
Приложения:
Похожие вопросы
Предмет: Математика,
автор: batiatymur2
Предмет: Другие предметы,
автор: thele
Предмет: История,
автор: JenaMelovina
Предмет: Математика,
автор: Аноним
Предмет: Математика,
автор: лол103е4