Предмет: Математика, автор: 0007инкогнет0007

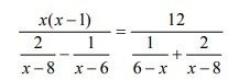
Найти сумму корней или корень (если он единственный) уравнения:

Приложения:

Ответы

Автор ответа: Аноним
1
........................
Приложения:
Похожие вопросы
Предмет: Українська мова, автор: maksturko73
Прочитайте опис мiсцевості та виконайте завдання. Ми проїхали підземкою аж до Олдерсгейта, а там пройшли трохи пішки й опинилися на місці подiй, про які чули вранці. Це був тісний майданчик, що марно силкувався приховати свою мізер ність. Власне, не майданчик, а малесенький обгороджений клаптик землі, оточений із чотирьох боків бруднуватими двоповерховими цегляними будинками, де трохи бур'яну й кілька прив'ялих лаврових кущів провадили тяжку боротьбу з димним, отруйним повітрям. Три позолочені кулі й вивіска з написом «Джейбез Вілсон , що висла на одному з наріжних будинків, указували на мiсце, де наш рудочубий кліент вiв своє діло (За А. Конаном Дойлом). А. Знайдіть приклади персоніфікації у виділених частинах речень і прочитайте їх. Б. ЯКУ РОЛЬ персоніфікація та епітет відіграють у художньому стилі? в. Доберіть епітети до поданих слів, утворіть персоніфікацію (за зразком). Зразок. Хатинка - Скромна, але привітна хатинка сумно поглядала на гонористi кам'яні бу динки, що стояли на парному боці вулиці.​
Предмет: Математика, автор: mirictik43
Предмет: Литература, автор: gulayim52
Предмет: Математика, автор: Hilal19