Предмет: Математика,
автор: BomzhValera
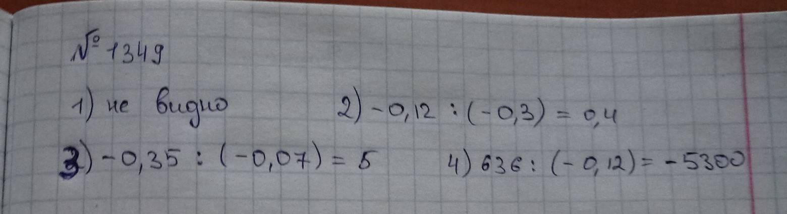
Помогите! Меня небыло на этой теме.N1348 и N1349
Приложения:
BomzhValera:
1) -9,6:12
Ответы
Автор ответа:
1
1 не видно и 1348 номер нету фото
Приложения:
1) -9,6:12
-0.8
Похожие вопросы
Предмет: Математика,
автор: ryabogina90
Предмет: Математика,
автор: sofikooooooo11
Предмет: Математика,
автор: Lfaga443
Предмет: Алгебра,
автор: lada30
Предмет: Математика,
автор: elvira87