Предмет: Математика,
автор: STEPNOJORSK
Скорость движение на лодке на 9 км/ч меньше скорости движения на моторной лодке и составляет от нее 40%. Найдите скорость моторной лодки
Ответы
Автор ответа:
0
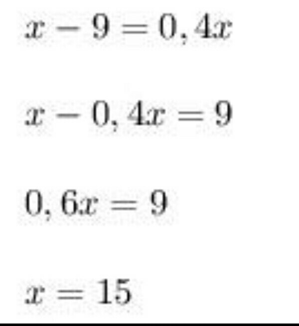
Х - скорость моторной лодки
х-9 - скорость лодки
40% от х составляют 0,4х
Уравнение:
х-9 - скорость лодки
40% от х составляют 0,4х
Уравнение:
Приложения:
Похожие вопросы
Предмет: Немецкий язык,
автор: triggerroller8
Предмет: Қазақ тiлi,
автор: hot44
Предмет: Алгебра,
автор: darydy6
Предмет: Математика,
автор: Aliushka111
Предмет: Биология,
автор: alena1015