Предмет: Алгебра,
автор: alenagrigorva
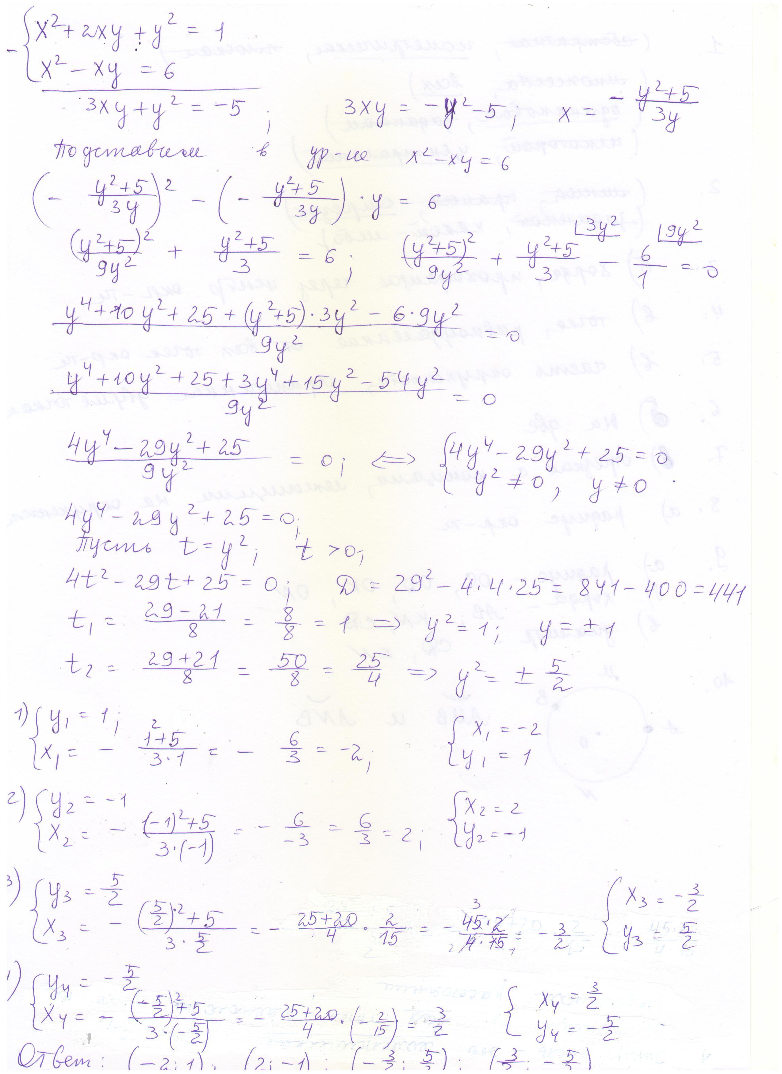
Решите пожалуйста очень прошу!!!
Приложения:
Ответы
Автор ответа:
1
Смотри приложенное решение
Приложения:
Похожие вопросы
Предмет: История,
автор: BabySanchez
Предмет: Английский язык,
автор: Galino4ka94
Предмет: Алгебра,
автор: rampagefullzero
Предмет: Алгебра,
автор: зиярат3