Предмет: Физика,
автор: kiriello
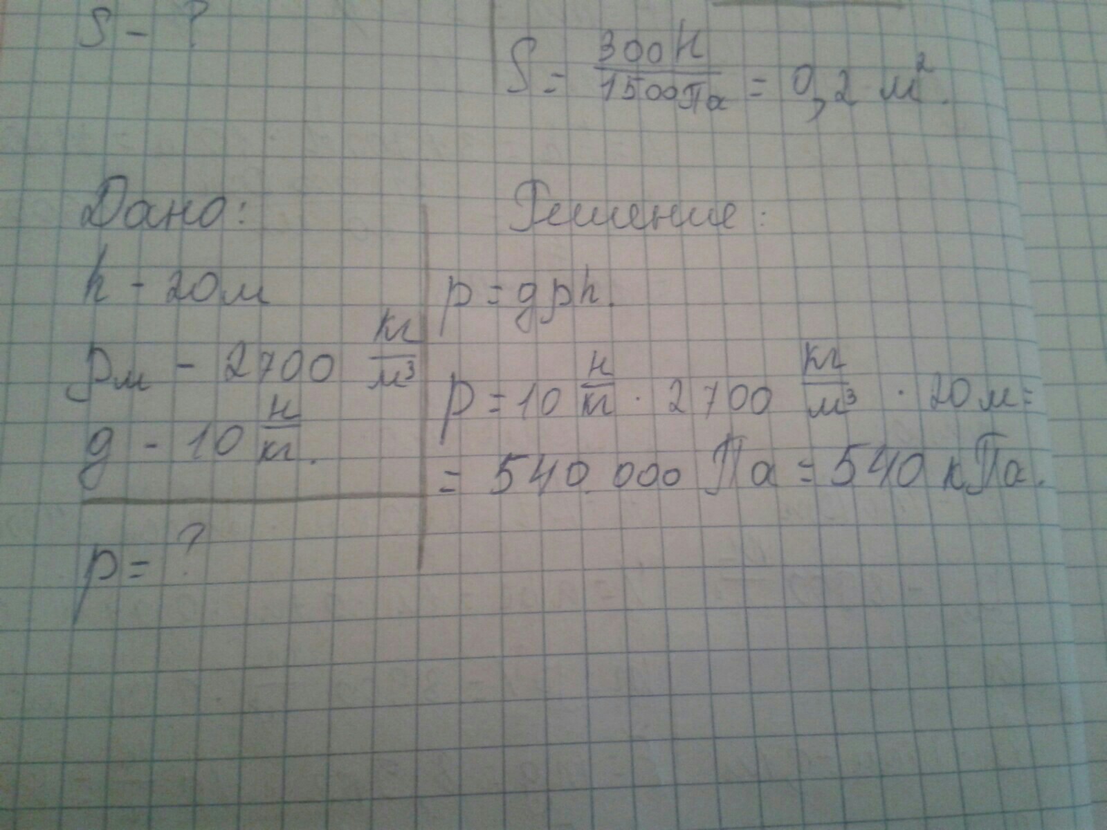
Рассчитайте давление, оказываемое на землю мраморной колонной высотой 20 м.
И приведите пожалуйста пример как все это решать
Ответы
Автор ответа:
2
Ответ: Давление мраморной колонны на землю равна 540 кПа.
Чтобы решать задачи, нужно просто напросто учить формулы.
Чтобы решать задачи, нужно просто напросто учить формулы.
Приложения:
kiriello:
да я знаю что нужно учить формулы
Похожие вопросы
Предмет: Английский язык,
автор: Аноним
Предмет: Другие предметы,
автор: akbaidauletova
Предмет: География,
автор: oladakova074
Предмет: Математика,
автор: курлык15