Предмет: Геометрия,
автор: OllyPolly123
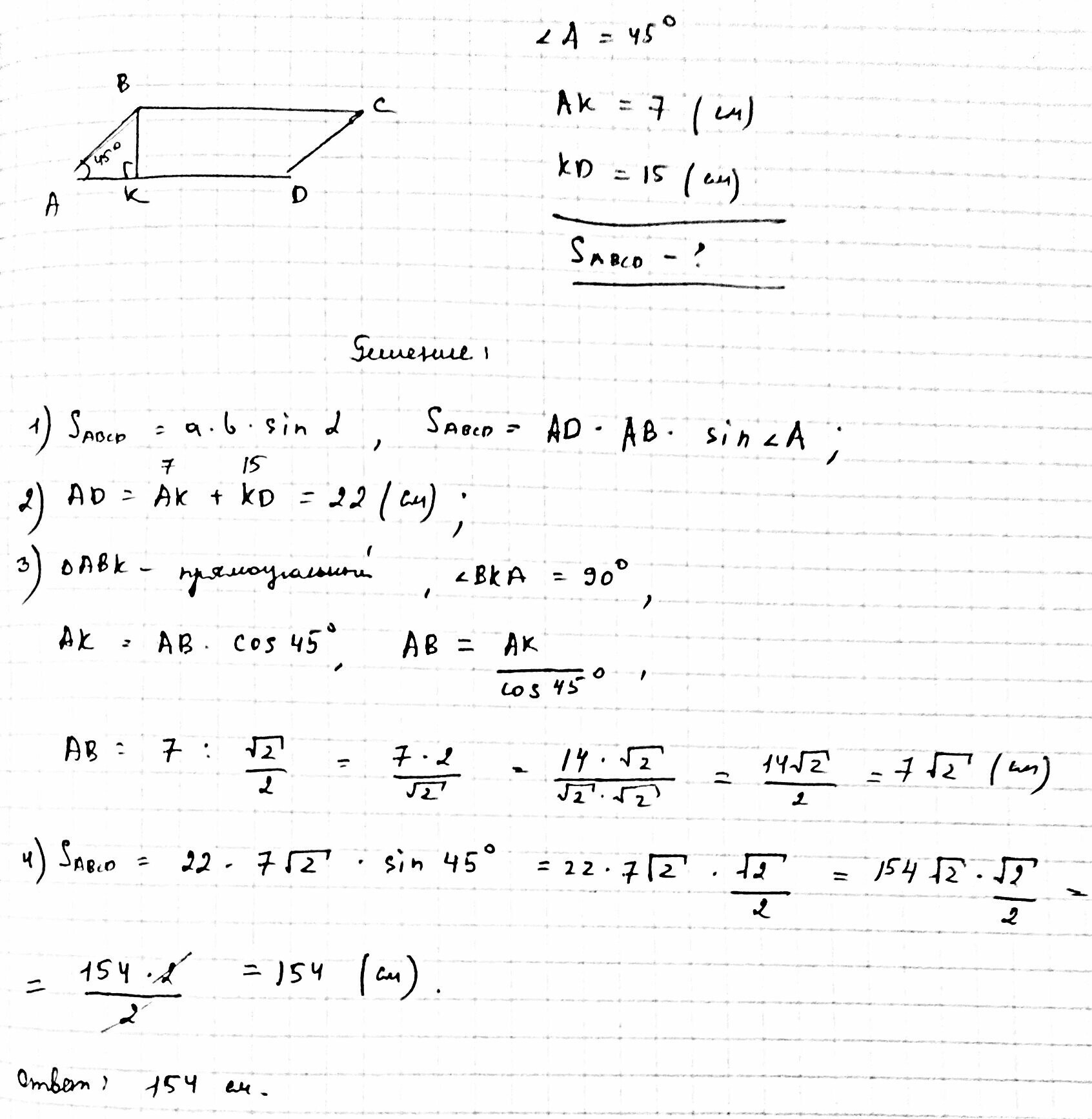
Высота ВК, проведённая к стороне АD параллелограмма ABCD делит эту сторону на два отрезка АК=7 см, КD=15 см. Найдите площадь параллелограмма, если угол А= 45 градусов
Ответы
Автор ответа:
2
...........................................
Приложения:
Похожие вопросы
Предмет: Русский язык,
автор: dmarina35
Предмет: Математика,
автор: lemonikyt072
Предмет: ОБЖ,
автор: ramzu2413
Предмет: Математика,
автор: Аноним