Предмет: Математика,
автор: iliafilatoff20
Не справляюсь.
Объясните
Приложения:
Ответы
Автор ответа:
1
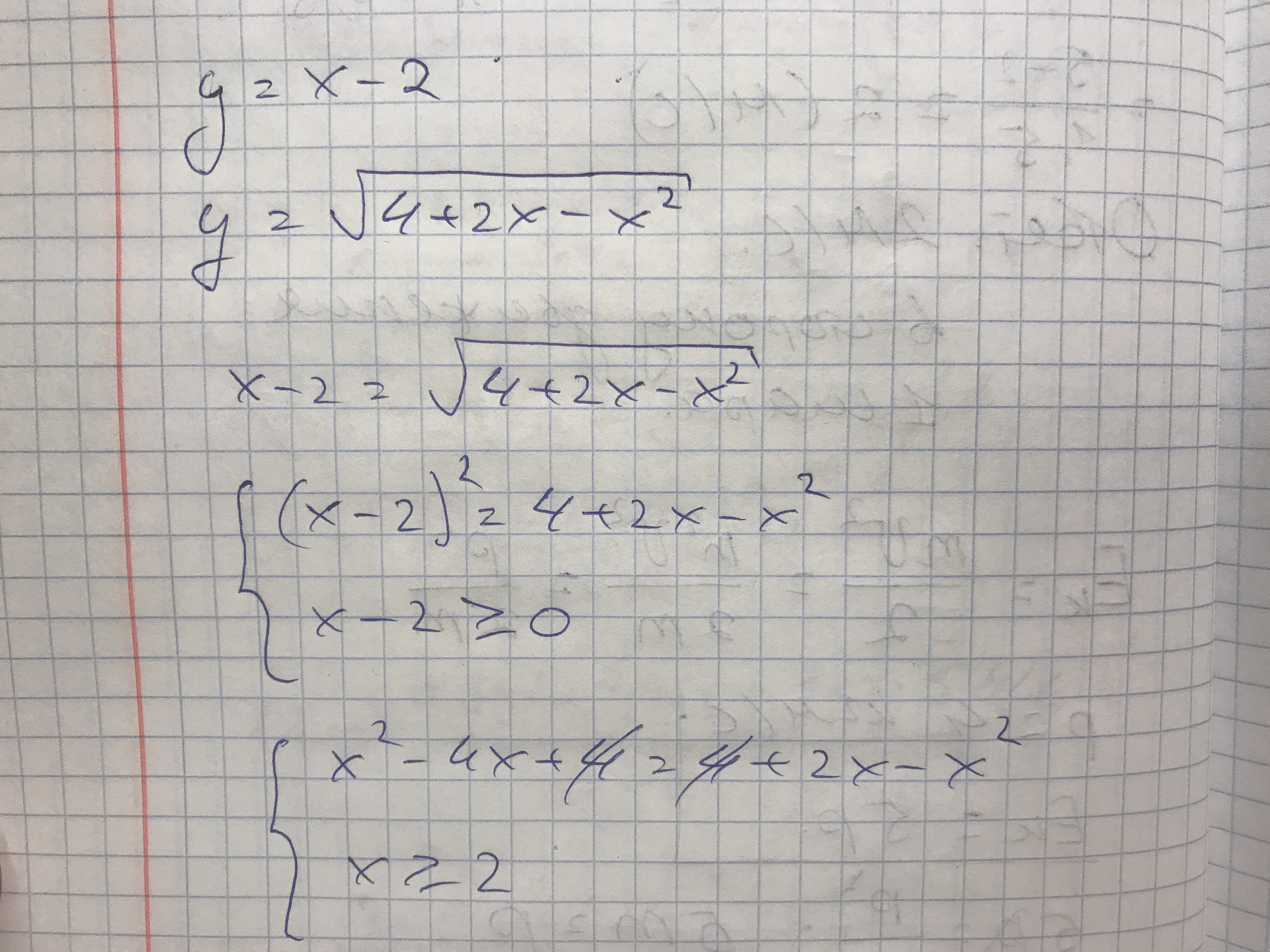
Чтобы найти точки пересечения графиков, нужно приравнять функции
Далее решаем уравнение, не забывая про ОДЗ
Далее решаем уравнение, не забывая про ОДЗ
Приложения:
Похожие вопросы
Предмет: Математика,
автор: Richqqw
Предмет: Химия,
автор: BOITPOC
Предмет: Математика,
автор: ASas10
Предмет: Математика,
автор: Andreja123
Предмет: Математика,
автор: дРуГаЯ1