Предмет: Физика,
автор: Аноним
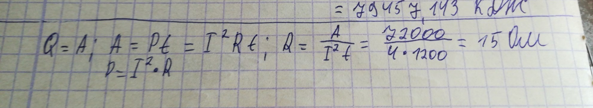
За 20 мин в проволочной спирали выделяется количество теплоты 72 кДж. Чему равно сопротивление спирали, если сила тока в цепи 2А?
Ответы
Автор ответа:
0
вот решение............
Приложения:
Похожие вопросы
Предмет: Музыка,
автор: elkaandezhik
Предмет: Геометрия,
автор: Аноним
Предмет: Русский язык,
автор: Аноним
Предмет: География,
автор: LOSи
Предмет: Математика,
автор: Arthurs39