Предмет: Математика,
автор: Helpmeplz123
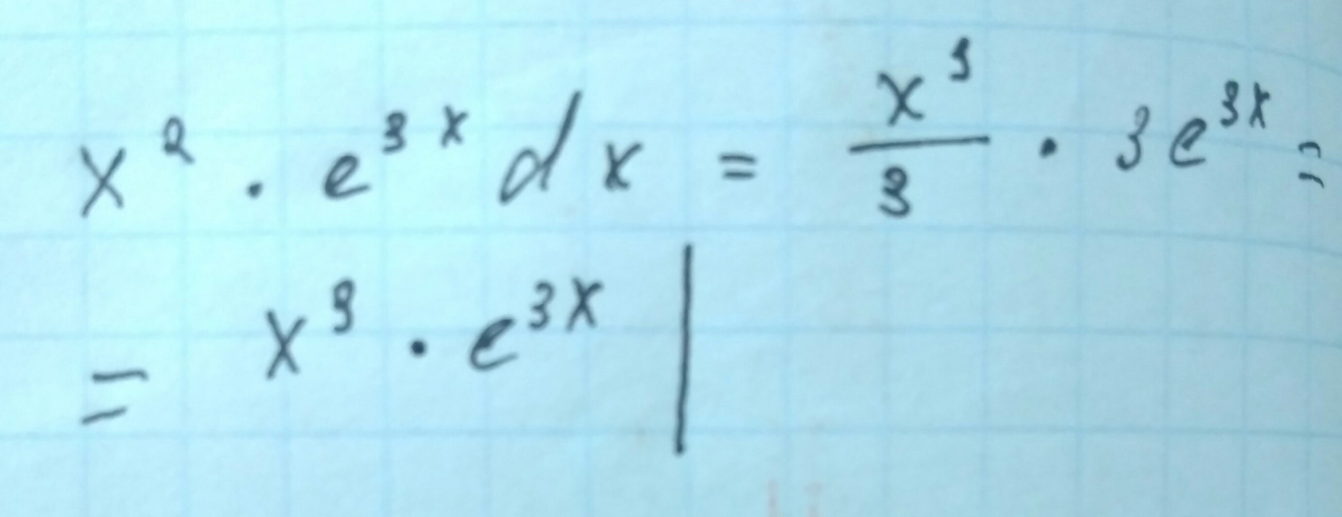
Интеграл
х^2 *е^3х dx
Ответы
Автор ответа:
0
На фото решение.
..............
..............
Приложения:
Похожие вопросы
Предмет: Математика,
автор: kpolina21092009
Предмет: Алгебра,
автор: davvamoh
Предмет: Английский язык,
автор: aupovaalfia04
Предмет: Математика,
автор: Алинос111
Предмет: Математика,
автор: Аноним