Предмет: Геометрия,
автор: lliiiii
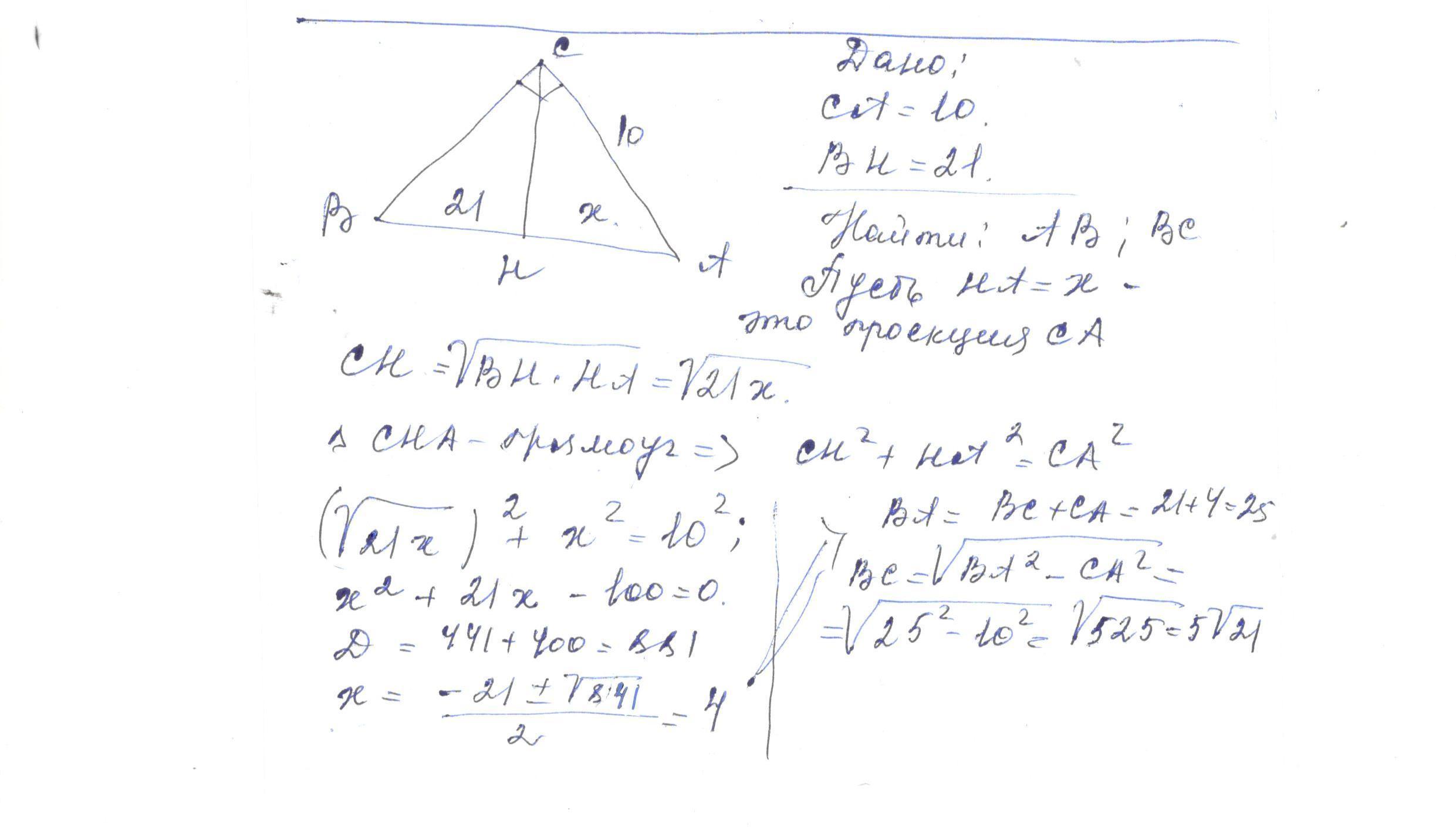
Катет Прямоугольного треугольника равно 10 см а проэкция другого катета 21 см . Найдите катет и гипотенузу
Помогите пожалуйста очень срочно . С объяснением. Отдам все балы только честно !!!!!
Ответы
Автор ответа:
1
Решение в приложении
Приложения:
lliiiii:
Спасибо большое .Я также решила . Сейчас уверена что правильно
Похожие вопросы
Предмет: Қазақ тiлi,
автор: ikhsanova0405
Предмет: Қазақ тiлi,
автор: hilola2008az
Предмет: Математика,
автор: tatananyrkova43
Предмет: Физика,
автор: bossizhan
Предмет: Музыка,
автор: leir03