Предмет: Математика,
автор: пахалин1
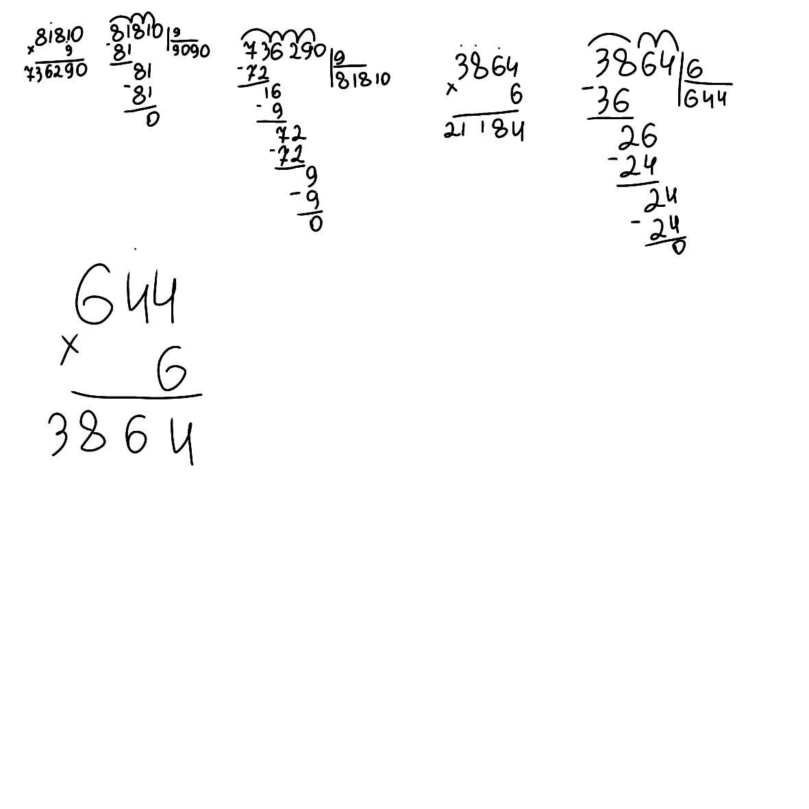
решите столбиком примеры
81810÷9
81810×9
736290÷9
3864×6
3864÷6
644×6
Ответы
Автор ответа:
0
я там только первый и второй пример местами перепутала.
на картинку нажми, и все примеры покажутся. эт просто миниатюра такая
на картинку нажми, и все примеры покажутся. эт просто миниатюра такая
Приложения:
Похожие вопросы
Предмет: Химия,
автор: induskirilowhe9t
Предмет: Русский язык,
автор: inenash
Предмет: История,
автор: Аноним
Предмет: Литература,
автор: Арман111111111111
Предмет: Математика,
автор: misha1941