Предмет: Математика,
автор: ZeerKasio
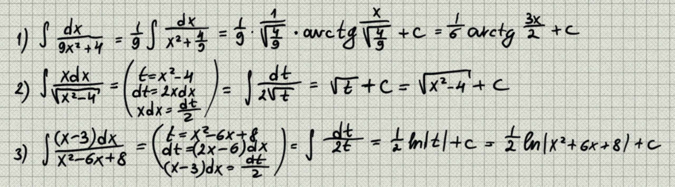
3 интеграла. Распишите решение, пожалуйста.
Приложения:
Ответы
Автор ответа:
1
Решение во вложении.
Приложения:
Alexаndr:
arcsin=arctg эт как? в остальном порядок
Ой, действительно, спасибо)
Похожие вопросы
Предмет: Геометрия,
автор: Xdezno
Предмет: Обществознание,
автор: missisoladuska1
Предмет: Математика,
автор: doradura2074
Предмет: Математика,
автор: karina18556
Предмет: Литература,
автор: ainash060811