Предмет: Математика,
автор: sati02
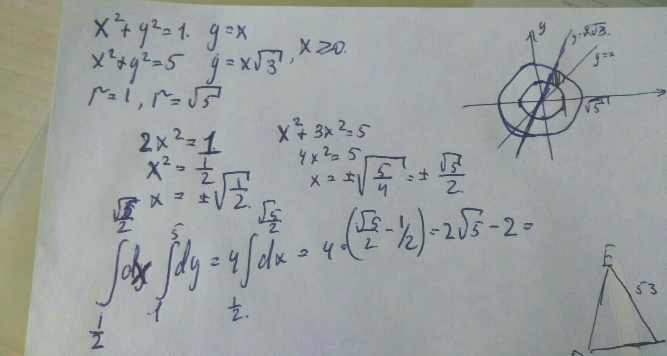
Помогите найти площадь
Приложения:
Fray128:
Площадь чего? Окружности? Это одно условие или четыре разных?
Нужно найти площадь фигуры при наложении этих функции.
Это является одним условием, тк оно решается наложением друг на друга
Это является одним условием, тк оно решается наложением друг на друга
Решается при помощи интегралов
У вас есть ответ? У меня получилось примерно 2,47
Можно вообще решение?
Ваше*
У меня ответа, к сожалению, нет
да, конечно
оценивайте
Ответы
Автор ответа:
1
Решение в приложении
Приложения:
Похожие вопросы
Предмет: Литература,
автор: Аноним
Предмет: Қазақ тiлi,
автор: ilyas003328
Предмет: Геометрия,
автор: sonsonvb
Предмет: Математика,
автор: dakibay1