Предмет: Алгебра,
автор: nastyakopulovasos
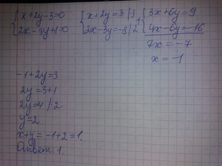
пара чисел ху является решением системы х+2у-3=0 2х-3у+8=0 чему равна сумма х+ у.
Ответы
Автор ответа:
1
В прикреплённом файле
___________________________
Sunny Storm (Darknight)
___________________________
Sunny Storm (Darknight)
Приложения:
Похожие вопросы
Предмет: Литература,
автор: skyend1337
Предмет: Алгебра,
автор: serovamaria143
Предмет: Русский язык,
автор: Cyclone222
Предмет: Математика,
автор: mnura05
Предмет: Математика,
автор: гена8901