Предмет: Математика,
автор: katana82
Помогите пожалуйста решить задачу :
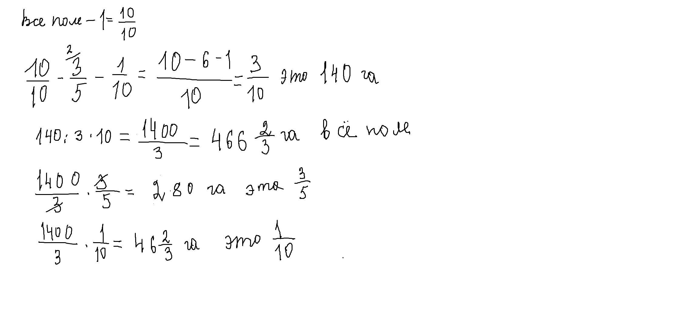
1. - ? , 3/5 поля
2. - ? , 1/10 поля
3. - ? , 140 га
Ответы
Автор ответа:
1
не знала,что надо найти ,нашла всю площадь и 1\10 и 3\5 поля
Приложения:
Похожие вопросы
Предмет: Алгебра,
автор: PATATATU
Предмет: Қазақ тiлi,
автор: ernurkrucbek
Предмет: Русский язык,
автор: arra3948
Предмет: Математика,
автор: Владимир1977
Предмет: Математика,
автор: миститик