Предмет: Алгебра,
автор: Аноним
Помогите, пожалуйста...
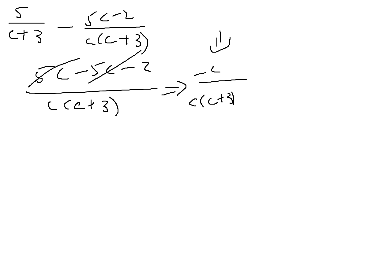
5/(с+3)-(5с-2)/(с^2+3с)
Ответы
Автор ответа:
0
кароч вот, вообще просто все!
Приложения:
Автор ответа:
0
Вынеси с(с+3);Общий знаменателт:с(с+3);Ответ:2/с(с+3)
Приложения:
Похожие вопросы
Предмет: Математика,
автор: marjona08
Предмет: Русский язык,
автор: vladislavadyrdina19
Предмет: Химия,
автор: vivvasig
Предмет: Обществознание,
автор: анонимчик20