Предмет: Математика,
автор: Mrqurban
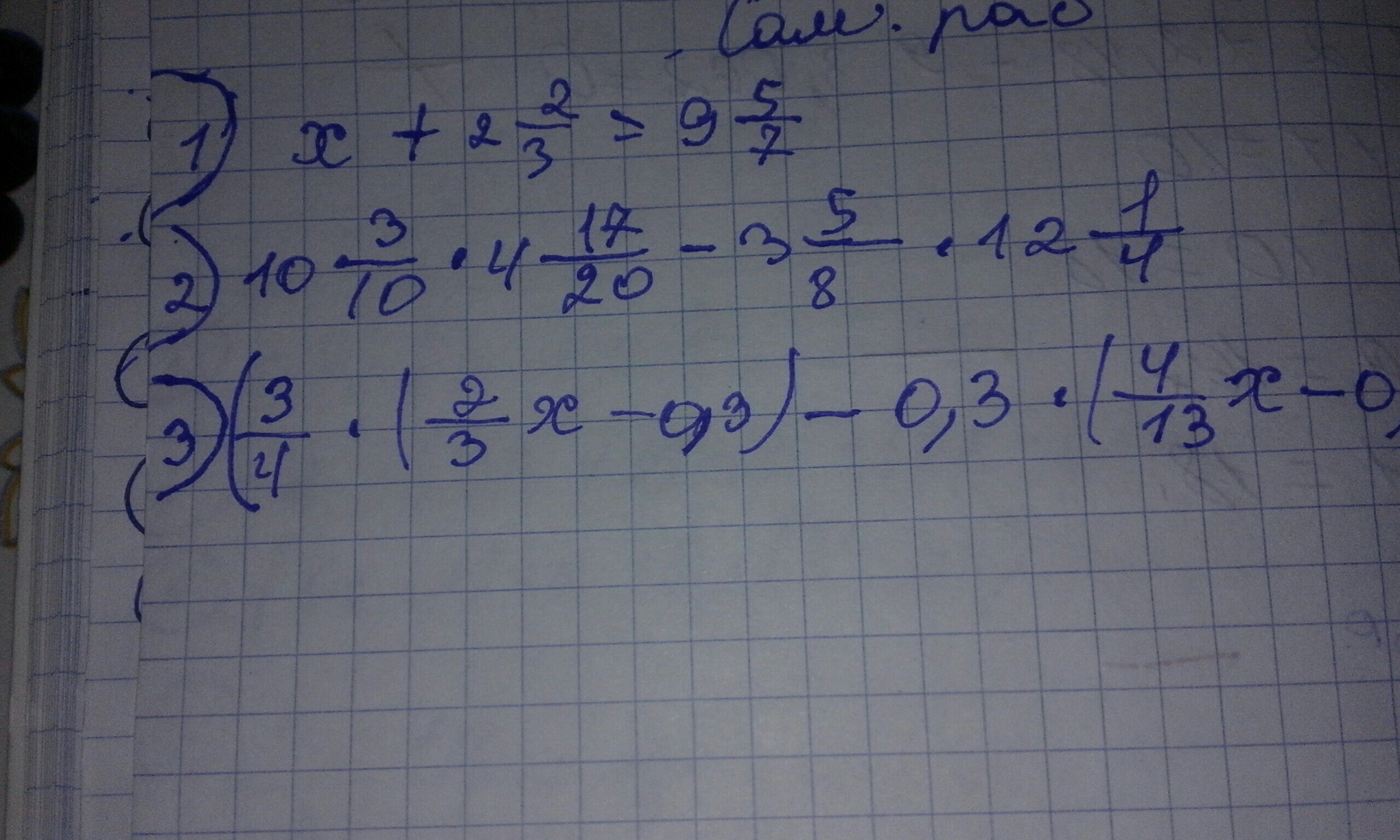
Пж.Помогите срочно... 1) и 2) ПЖ
Приложения:
Ответы
Автор ответа:
1
номер 1




eqreio:
после 9, 5/7 пробел, и после 4/3=45/7 пробел x=45/7-4/3 пробел x=107/21
Похожие вопросы
Предмет: Русский язык,
автор: kurtanidzegocha2010
Предмет: Қазақ тiлi,
автор: solodovnikovas743
Предмет: Математика,
автор: dklopova03
Предмет: Алгебра,
автор: gajnullinaelwira
Предмет: Литература,
автор: aleksandra16080