Предмет: Алгебра,
автор: зариеа
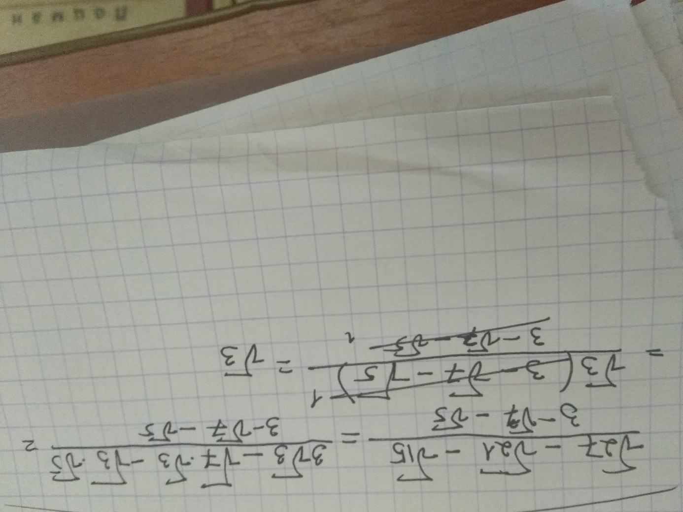
сократить дробь√27-√21-√15 /3-√7-√5
Приложения:
Ответы
Автор ответа:
3
если что ,то пиши) буду рада помочь)
Приложения:
Похожие вопросы
Предмет: Другие предметы,
автор: evelinapasieva94
Предмет: Русский язык,
автор: shirinenok6486
Предмет: Физика,
автор: 833324
Предмет: Математика,
автор: 06021978z
Предмет: Литература,
автор: fanilamarganova1