Предмет: Алгебра,
автор: Аноним
Прошу помогите((
Алгебра..
Приложения:
Ответы
Автор ответа:
1
Автор ответа:
1
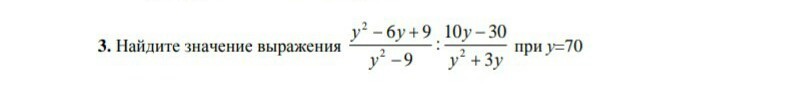
Упростим выражение:

при у =70 ⇒ 0,1 × 70 = 7
при у =70 ⇒ 0,1 × 70 = 7
Похожие вопросы
Предмет: Математика,
автор: antibaka666
Предмет: Математика,
автор: akovlevad071
Предмет: Математика,
автор: lisaleks812
Предмет: Физика,
автор: Yudina2002Vika