Предмет: Физика,
автор: Elizabet12072002
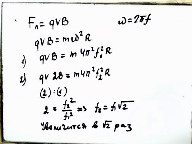
Помогите, пожалуйста, решить 5 задачу по физике. Тема : Сила Лоренца. Движение заряженных частиц в магнитном поле.
Приложения:
Ответы
Автор ответа:
0
Сила Лоренца. Движение заряженных частиц в магнитном поле.
Приложения:
Elizabet12072002:
У тебя наверно где-то допущена ошибка, т.к. увеличивается в 2 раза
Похожие вопросы
Предмет: Математика,
автор: mirlanovasaltanat705
Предмет: Немецкий язык,
автор: olimov250704
Предмет: Алгебра,
автор: 3345565554332
Предмет: Математика,
автор: tanj8
Предмет: География,
автор: suleymenovadin