Предмет: Алгебра,
автор: danilyk58
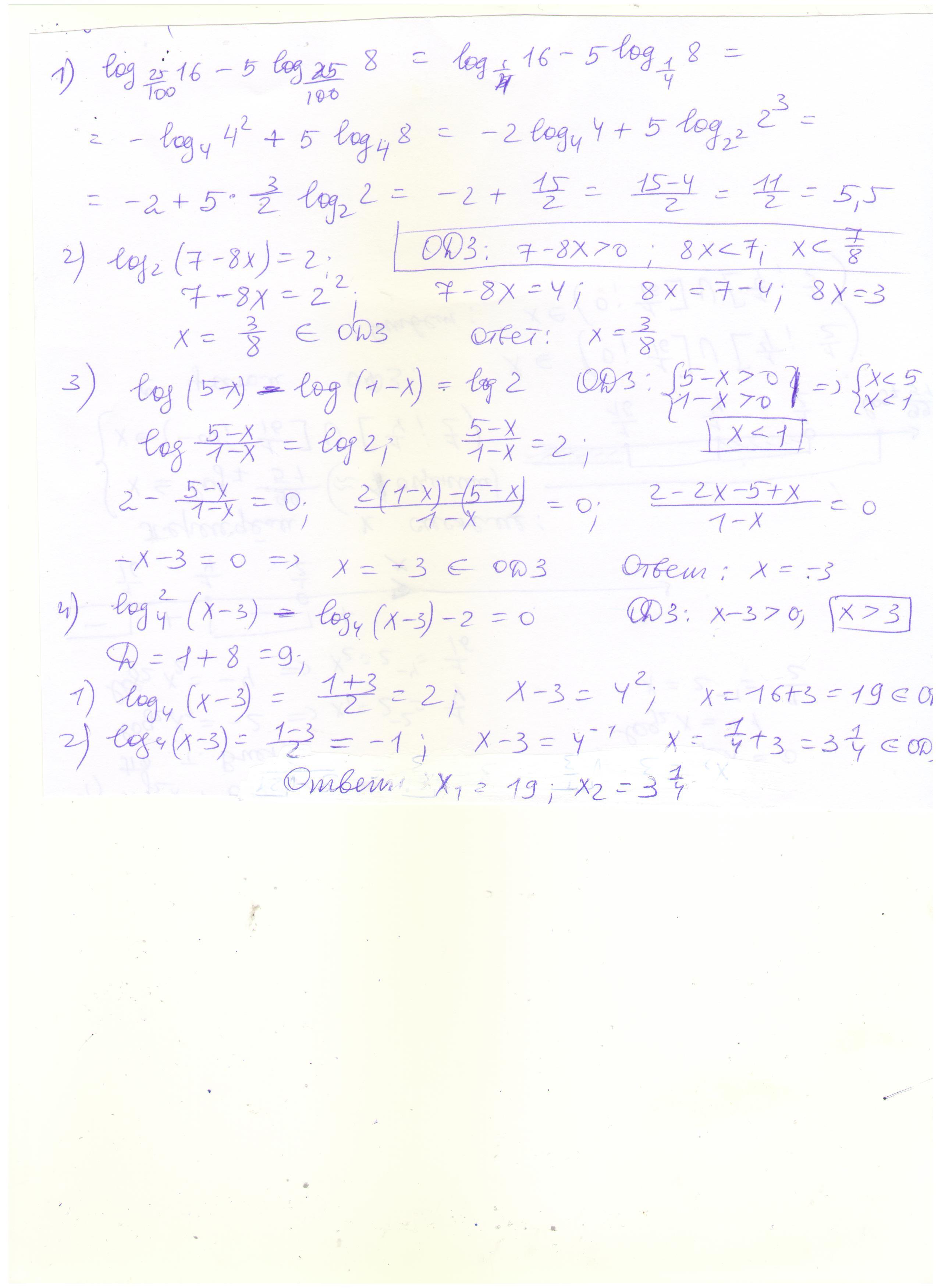
1) ㏒₀,₂16-5㏒₀,₂₅8
2) ㏒₂(7-8x)=2
3) ㏒(5-x)-㏒(1-x)=㏒2
4) ㏒²₄(x-3)-㏒₄(x-3)-2=0
Ответы
Автор ответа:
1
Смотри приложенное решение
Приложения:
Похожие вопросы
Предмет: География,
автор: Аноним
Предмет: Химия,
автор: anastasialesko50
Предмет: Геометрия,
автор: parencrut007
Предмет: Литература,
автор: katyanagatinsk
Предмет: История,
автор: Ольга0690