Предмет: Алгебра,
автор: барыс
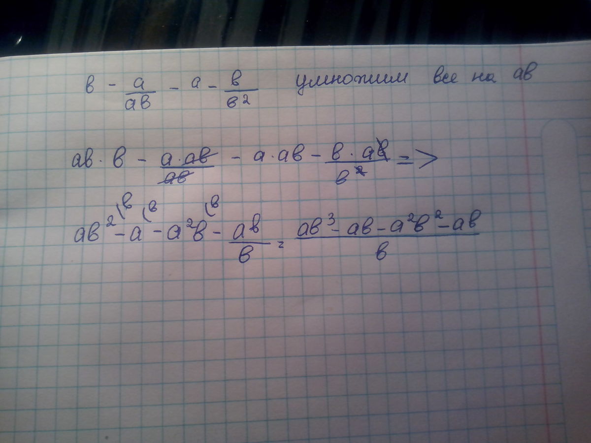
это сложение и вычитание дробей с разными знаменателями b-a/ab-a-b/b2
Ответы
Автор ответа:
0
,,,,,,,,,,,,,,,,,,,,,,,,,,,,,,,,,,,,,,,,,,,,,,
Приложения:
Похожие вопросы
Предмет: Литература,
автор: nazarovamunira51
Предмет: Русский язык,
автор: Аноним
Предмет: Литература,
автор: nmutalova61
Предмет: Математика,
автор: девочка201