Предмет: Алгебра,
автор: veronjka9
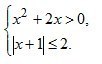
Решите систему неравенств:
Приложения:
Ответы
Автор ответа:
1
Решение дано на фото
Приложения:
Похожие вопросы
Предмет: Математика,
автор: Аноним
Предмет: Немецкий язык,
автор: fkddkjd
Предмет: Психология,
автор: jixibe4904
Предмет: Математика,
автор: GallexSpray
Предмет: Литература,
автор: gromova97201120