Предмет: Математика,
автор: Аноним
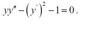
Кто-нибудь, решите уже пжл. Найти общее решение дифференциального уравнения 2-го
порядка.
Приложения:
Ответы
Автор ответа:
0
До какого времени тебе нужно сдать? Могу решить только завтра ближе к 6-7 утра,, если сойдёт то жди решения)
Аноним:
Конечно подожду
Похожие вопросы
Предмет: Английский язык,
автор: mrmrrmrm011
Предмет: Геометрия,
автор: ilevviu
Предмет: Геометрия,
автор: annetkahyuga
Предмет: Математика,
автор: Рапунсыль