Предмет: Алгебра, автор: ggiop4567

Найдите решение системы уравнений
Срочно!!!
С фото желательно

Приложения:

NinochkaMartin: Там ещё 3 есть
NinochkaMartin: Или любым?
ggiop4567: Подстановки
NinochkaMartin: Ок
NinochkaMartin: 1070?
NinochkaMartin: И какие буквы
ggiop4567: Все
NinochkaMartin: угу
NinochkaMartin: Сейчас отправлю
ggiop4567: Ок

Ответы

Автор ответа: NinochkaMartin
0
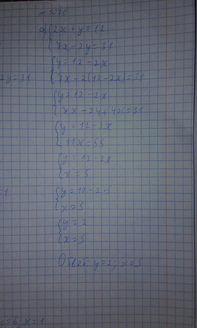
Вот, извиняюсь, что пишу криво:D
Приложения:
Похожие вопросы
Предмет: Музыка, автор: alekseyakoba1