Предмет: Алгебра,
автор: kovaletslesya
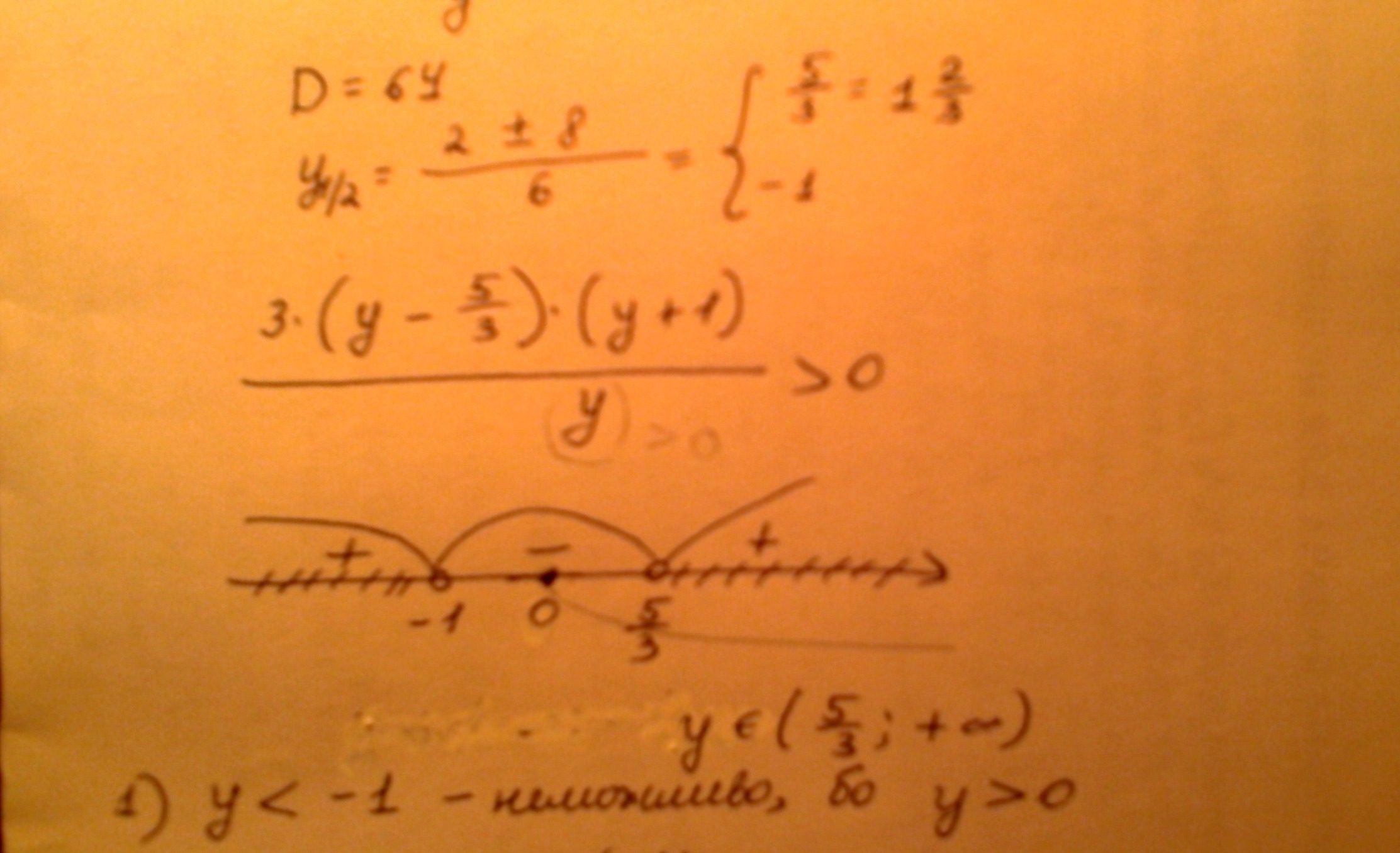
Розвяжіть нерівність
3×9ˣ -2×15ˣ -5²ˣ⁺¹>0
Ответы
Автор ответа:
0
Це показникова нерівність розвязок на фото
Приложения:
Похожие вопросы
Предмет: Биология,
автор: antosevanatalia
Предмет: Математика,
автор: kurbanaliyeva032010
Предмет: Английский язык,
автор: makaana
Предмет: Химия,
автор: natasha020980
Предмет: Математика,
автор: 9181900916