Предмет: Математика,
автор: ABKpr
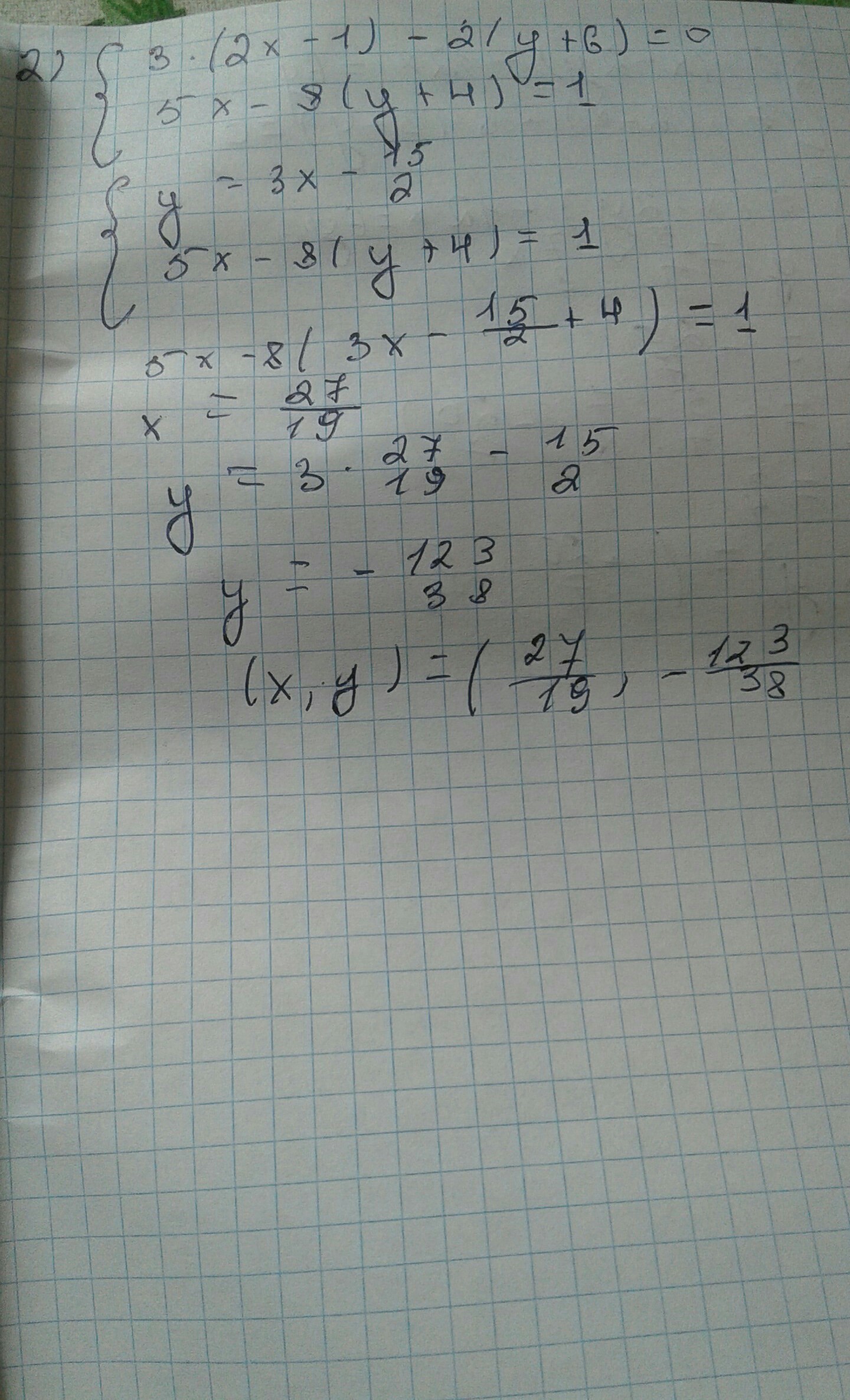
Помогите решить 3 системы любым способом(графический, подстановка или сложение)ПРОШУ ПОМОГИТЕ
Приложения:
Ответы
Автор ответа:
1
Вооооооооооооооооооооот.Если понравился ответ , отметь как "Лучший ответ". Буду благодарна.
Приложения:
Похожие вопросы
Предмет: Немецкий язык,
автор: unerke06
Предмет: Геометрия,
автор: sashagrv0
Предмет: Физика,
автор: irina112228
Предмет: Биология,
автор: Aknowngirl
Предмет: География,
автор: приветялилия