Предмет: Математика,
автор: kenanahmed1971
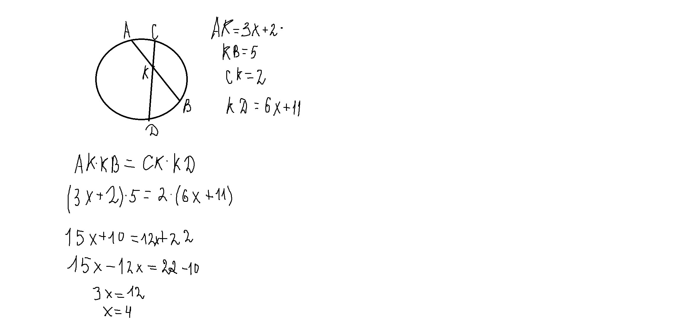
1) Сумма двух вертикальных углов равна 232° Найдите градусную меру угла смежного с одним из этих углов А 62° В 26° С 66° Д 68° 2) Хорды АВ и СД пересекаются в точке К. Найдите значение х если АК=3х+2 КВ=5 СК=2 КД=6х+11 А)2 В)3 С)4 Д)5 памагите пж
parus77:
вертикальные углы равны,значит каждый из вертикальных углов равен 232:2=116 градусов.А сумма смежных углов равна 180 градусам,тогда угол,смежный с углом 116 градусов будет равен 180-116=64 градуса.Правда ,почему то этого ответа нет.
Спасибо
Нет этот ответ есть 64 ° я перепутал
Ты здесь
да ,здесь.решала 2 задачу.
Спасибо еше раз
пожалуйста
Можно еше штото спросит
Ответы
Автор ответа:
4
во 2 задаче ответ х=4 С.
эта задача на свойство хорд(там скинула фотку с правилом)
эта задача на свойство хорд(там скинула фотку с правилом)
Приложения:
Похожие вопросы
Предмет: Математика,
автор: stepuramaria0
Предмет: Музыка,
автор: ilaperminov052
Предмет: Литература,
автор: ivanovnazar115
Предмет: Математика,
автор: тот14
Предмет: Математика,
автор: митя100000