Предмет: Физика,
автор: Elzochcka
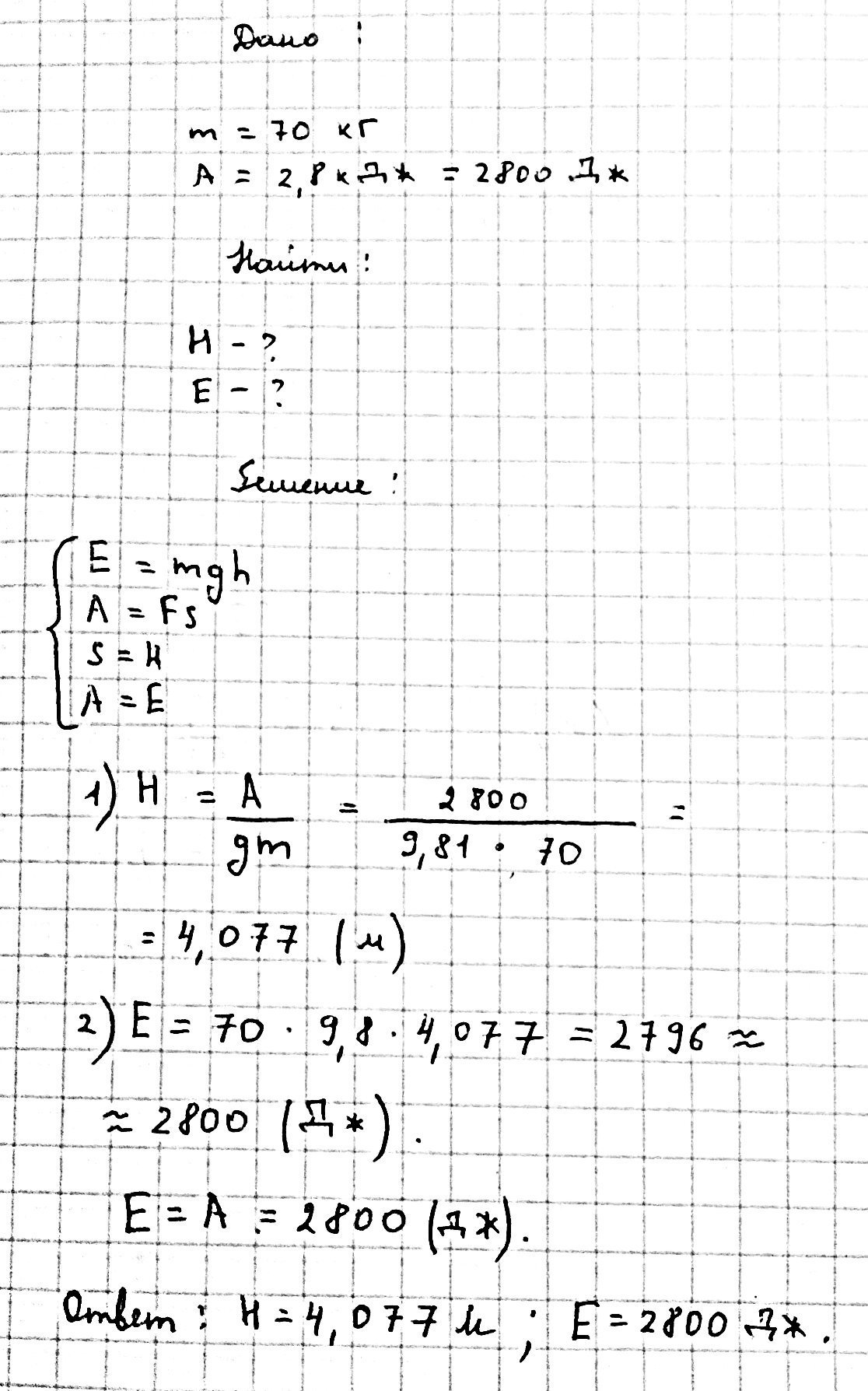
Піднімаючи вантаж масою 70 кг, підйомник виконав роботу 2,8 кДж.
На яку висоту було піднято вантаж?
Як змінилася його потенціальна енергія.
Розв'яжіть будь ласка задачою!!!
Ответы
Автор ответа:
62
...................................
Приложения:
Похожие вопросы
Предмет: Українська мова,
автор: kermolenko274
Предмет: Математика,
автор: estoyka74
Предмет: Английский язык,
автор: lubamihaylova3575
Предмет: Музыка,
автор: Васичка3