Предмет: Математика,
автор: maxgoncharov200
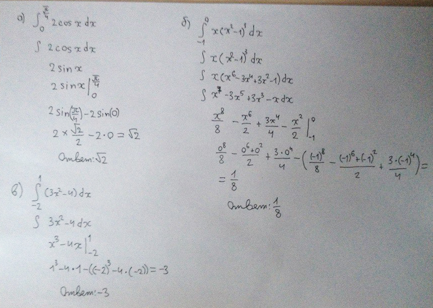
Первый и третий. Второй необязательно
Приложения:
Ответы
Автор ответа:
1
Решение 3-го задания во вложении
Приложения:
Похожие вопросы
Предмет: История,
автор: stars197
Предмет: Математика,
автор: mazanovalisa
Предмет: Русский язык,
автор: evalysenko9
Предмет: Химия,
автор: Аноним
Предмет: Право,
автор: Hodasevich