Предмет: Математика,
автор: Kraki
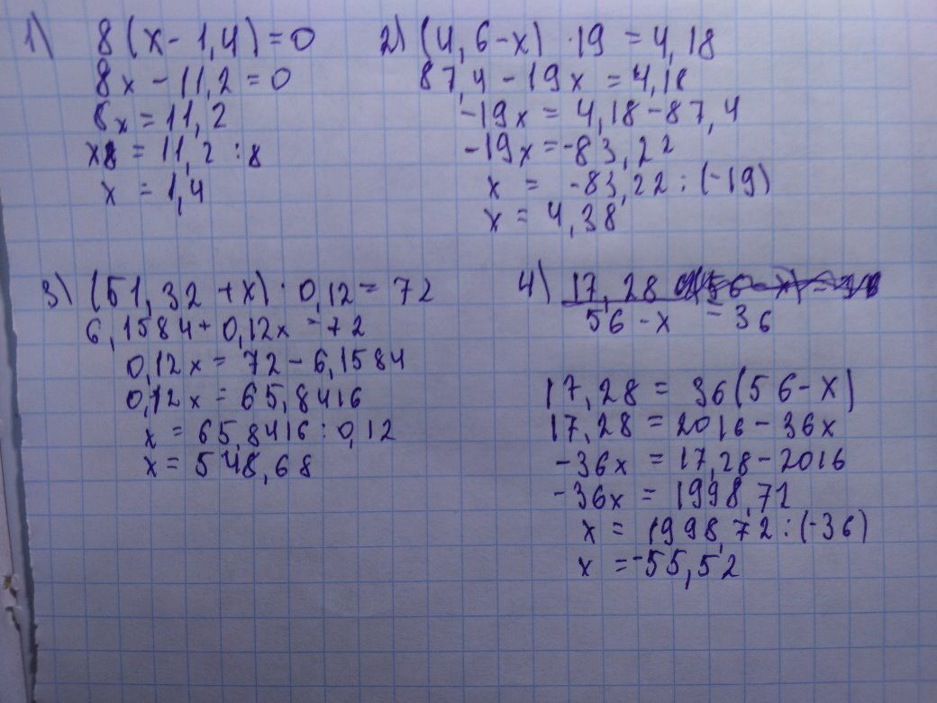
Решить уравнение: 1) 8(x-1,4)=0,56 2) (4,6-x)*19=4,18 3) (51,32+x)*0,12=72 4) 17,28:(56-x)=36
Ответы
Автор ответа:
2
Вот)
Надеюсь поймешь почерк)
Надеюсь поймешь почерк)
Приложения:
Kraki:
СПС
Автор ответа:
6
1) x -1.4=0.56 : 8
x -1.4=0.07
x=0.07+1.4
x=1.47
2)4.6 - x = 4.18 : 19
4.6 - x = 0.22
x=4.6 - 0.22
x=4.38
3)51.32+x=72 : 0.12
51.32+x=600
x=600 - 51.32
x=548.68
4) 56 - x=17.28 : 36
56 - x=0.48
x=56 - 0.48
x=55.52
x -1.4=0.07
x=0.07+1.4
x=1.47
2)4.6 - x = 4.18 : 19
4.6 - x = 0.22
x=4.6 - 0.22
x=4.38
3)51.32+x=72 : 0.12
51.32+x=600
x=600 - 51.32
x=548.68
4) 56 - x=17.28 : 36
56 - x=0.48
x=56 - 0.48
x=55.52
Спасибо и вам!
странная отметка за правильное решение, в отличие от верхних неправильных ответов((( Учитесь сами решать!
Похожие вопросы
Предмет: История,
автор: katekarachenceva
Предмет: Геометрия,
автор: dsamofalova2017
Предмет: Геометрия,
автор: arbyzzloi
Предмет: Обществознание,
автор: НикА0309
Предмет: История,
автор: karpukhinaanas1