Предмет: Алгебра,
автор: Style55
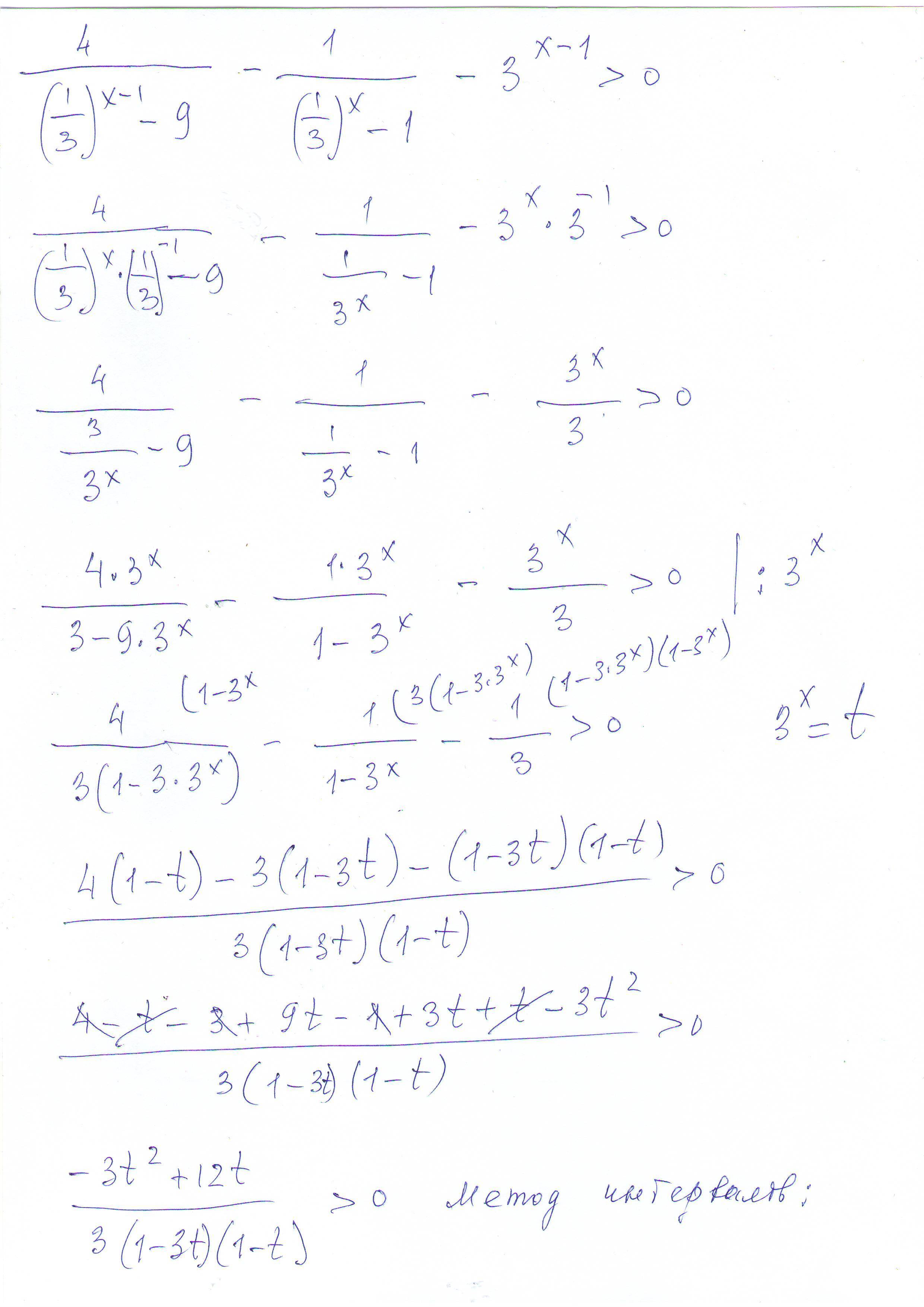
15 решить неравенство
Приложения:
Ответы
Автор ответа:
1
Лучше сразу 3^х обозначить новой переменной.
3^х = t . Но вот я так сделала.
Сначала к общему знаменателю, потом метод интервалов.
3^х = t . Но вот я так сделала.
Сначала к общему знаменателю, потом метод интервалов.
Приложения:
Style55:
там 4 не верно
но все равно спасибо
О-о-о. Я ведь знаки 1-го неравенства не те затолкала. Вот курица! И промежутки не туе образовались... (1;1/3) и (1;4) . Сразу несколько заданий похожих делала и вот... Но суть решения ведь понятен? Ну, извини за мою промашку...
Похожие вопросы
Предмет: Математика,
автор: asimonov09
Предмет: Литература,
автор: lenamalceva50
Предмет: Химия,
автор: lina7770656
Предмет: Математика,
автор: насиб2
Предмет: Математика,
автор: 12332139