Предмет: Математика,
автор: alonedance
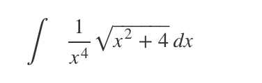
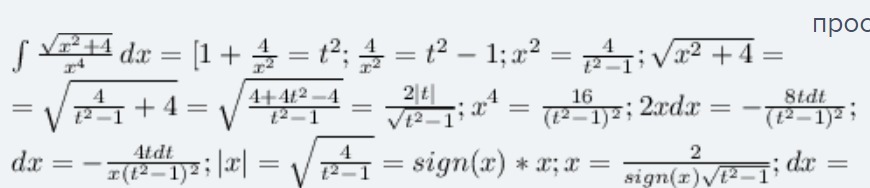
Решить неопределённый интеграл
Приложения:
Ответы
Автор ответа:
0
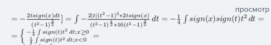
Обычно знак переменной в таких заменах принимают ≥0, но в определённых интегралах это приводит к неправильным результатам.
Можно также взять этот интеграл используя 1 или 3 подстановки Эйлера, но что-то мне подсказывает, что в любом случае нужно будет плясать с sign чтобы решение было строгим.
Можно также взять этот интеграл используя 1 или 3 подстановки Эйлера, но что-то мне подсказывает, что в любом случае нужно будет плясать с sign чтобы решение было строгим.
Приложения:
Похожие вопросы
Предмет: Математика,
автор: vvvsalvlvb
Предмет: История,
автор: olancikmikrofanova
Предмет: Литература,
автор: nastia3987
Предмет: Математика,
автор: Евгений963
Предмет: Алгебра,
автор: Аноним