Предмет: Геометрия,
автор: Malenkiy666Dyavol
СРОЧНО!!! ДАЮ 30 БАЛЛОВ!
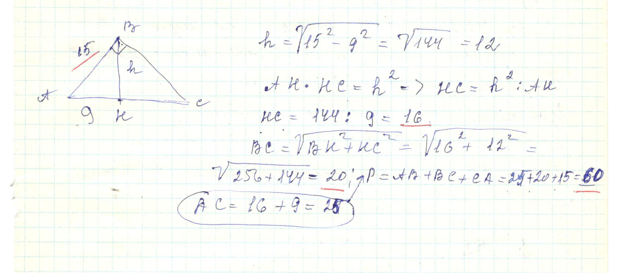
Найдите периметр прямоугольного треугольника, в котором катет равен 15 см, а его проекция на гипотенузу равна 9 см.
Напишите адекватно и распишите. За неправильный ответ отмечу нарушение!
Ответы
Автор ответа:
1
Решение в приложении
Приложения:
Malenkiy666Dyavol:
Спасибо
Автор ответа:
1
Смотри рисунок и решение на фото
Приложения:
Похожие вопросы
Предмет: Алгебра,
автор: lamonovadasha03
Предмет: Математика,
автор: Franceskiz
Предмет: Окружающий мир,
автор: karinayanushko
Предмет: Алгебра,
автор: VikaShavshina
Предмет: Математика,
автор: Bell555