Предмет: Алгебра,
автор: flower6798
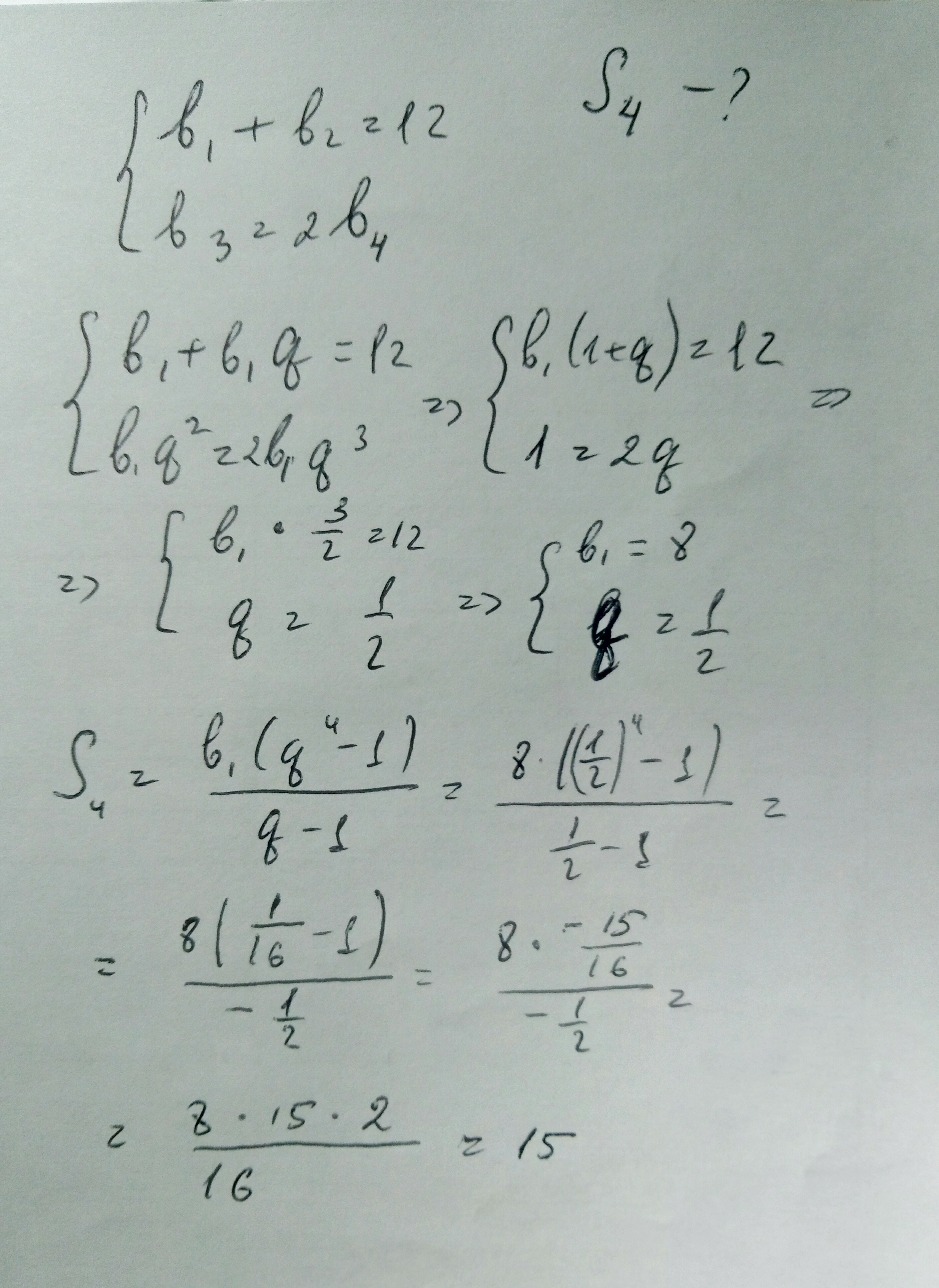
найдите сумму первых четырех членов геометрической прогрессии удовлетворяющих условию
{b1+b2=12
{b3=2b4
Ответы
Автор ответа:
7
Решение смотри на фото
Приложения:
Похожие вопросы
Предмет: Химия,
автор: isolonickij
Предмет: Физика,
автор: zagorulko2403
Предмет: Русский язык,
автор: Аноним
Предмет: Математика,
автор: мими67
Предмет: Алгебра,
автор: dee2