Предмет: Алгебра,
автор: Аноним
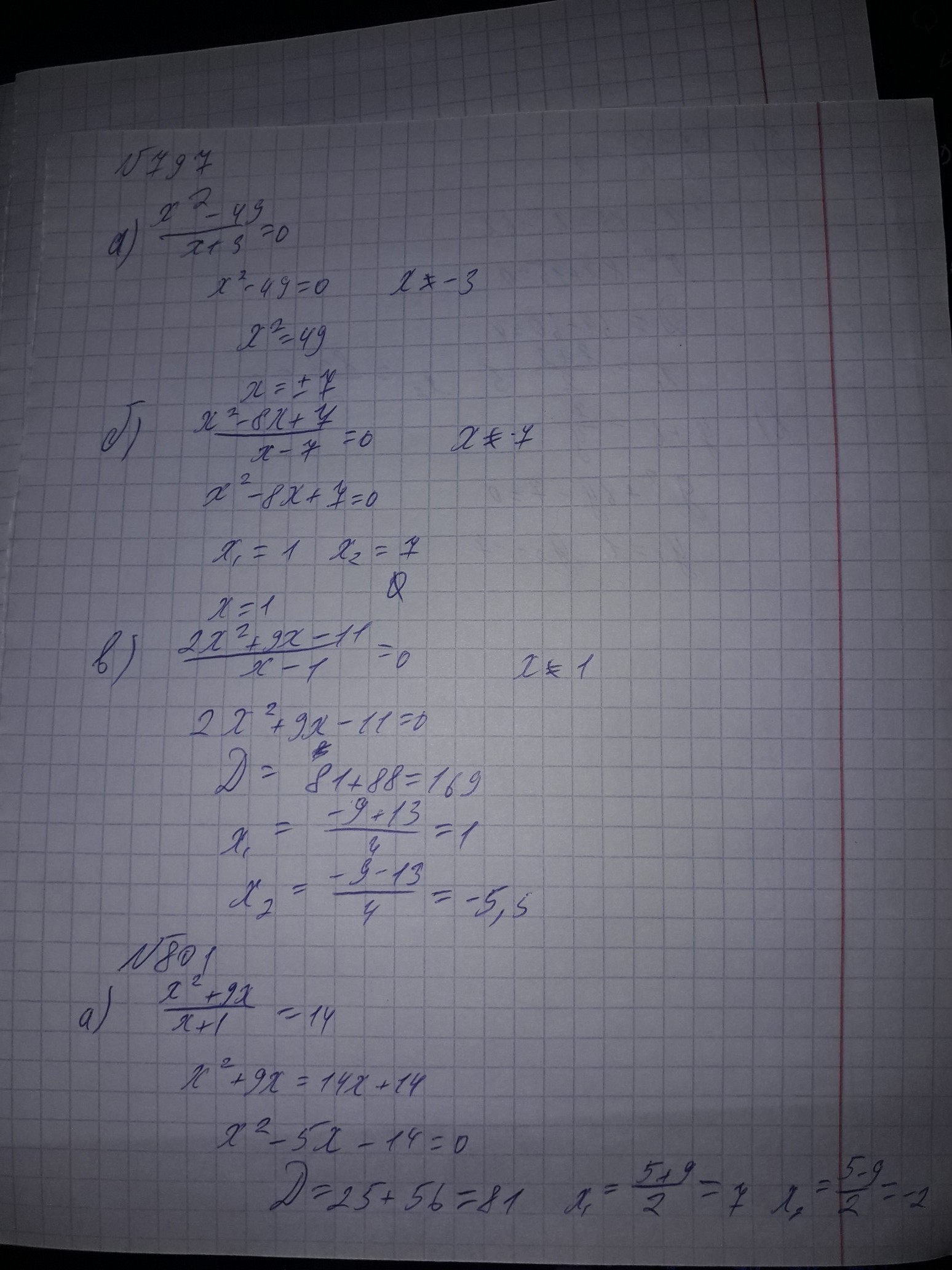
Срочно помогите вправа 797 801 ДАМ 40 БАЛОВ
ПИСАТЬ НА ЛИСТЕ
Приложения:
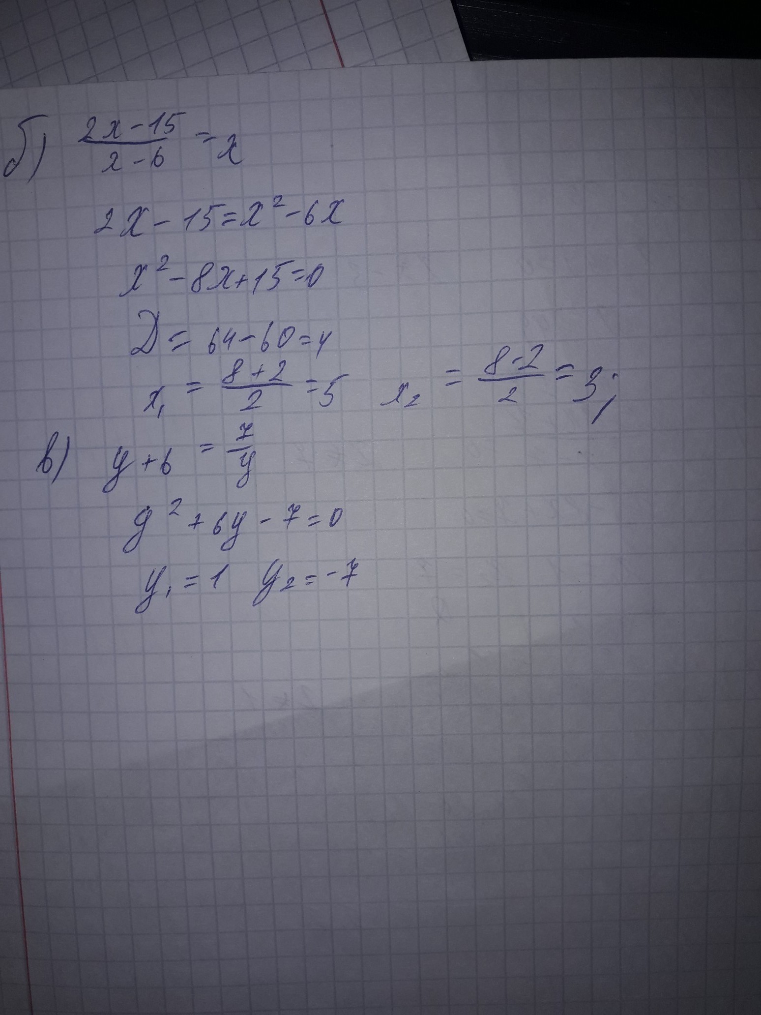
Ответы
Автор ответа:
1
Вооот, удачи и знаний!
Приложения:
Похожие вопросы
Предмет: География,
автор: l1ve42
Предмет: Қазақ тiлi,
автор: aruzhanerzhanova911
Предмет: Русский язык,
автор: Nikzar2010
Предмет: Биология,
автор: Fil111111
Предмет: География,
автор: tashaDi