Предмет: Математика,
автор: Yulkaraseva45
Помогите решить)Задание из КДР по алгебре 8 класс
Приложения:
Ответы
Автор ответа:
0
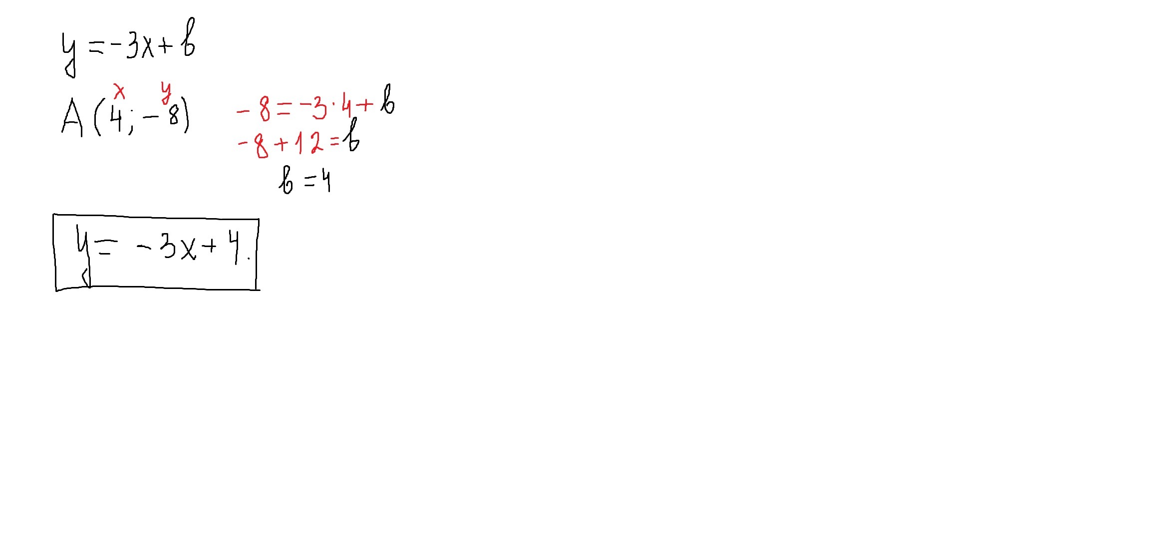
если график проходит через точку,с заданными координатами,то если подставить эти координаты в уравнение графика должно получиться верное равенство.Подставив эти значения найдем "в" и запишем функцию в виде у= -3х+4.
проверим все точки 1) -10=-3*5+4=-15+4=-11 неверно,значит не проходит через эту точку
2) -24=-3*8+4=-24+4=-20 неверно,не проходит
3) 21=-3*(-6)+4=18+4=22 неверно ,не проходит
4) -17=-3*7+4=-21+4=-17 верно,проходит
проверим все точки 1) -10=-3*5+4=-15+4=-11 неверно,значит не проходит через эту точку
2) -24=-3*8+4=-24+4=-20 неверно,не проходит
3) 21=-3*(-6)+4=18+4=22 неверно ,не проходит
4) -17=-3*7+4=-21+4=-17 верно,проходит
Приложения:
Похожие вопросы
Предмет: Русский язык,
автор: rhudajkulov8
Предмет: История,
автор: alexbroda021
Предмет: Право,
автор: lenaia82
Предмет: Информатика,
автор: maksimka84461
Предмет: Музыка,
автор: Wolf1111gvbjj