Предмет: Математика,
автор: ya19992005
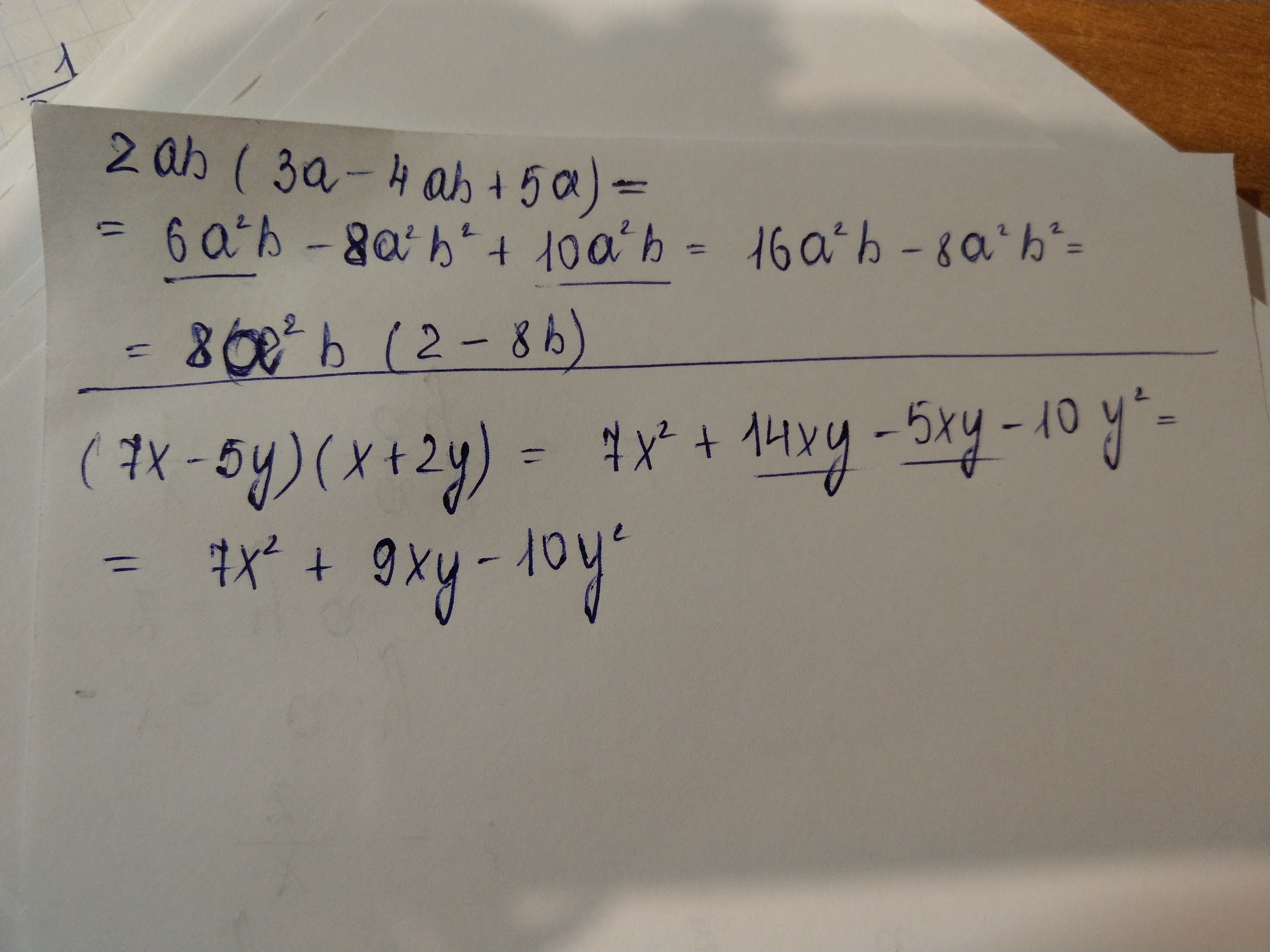
упростите 2ab(3a-4ab+5a)= (7x-5y)(x+2y)=
ya19992005:
то два разных примера 2ab(3a-4ab+5a)=
(7x-5y)(x+2y)=
Ответы
Автор ответа:
1
6а^2b- 8a^2b^2+10a^2b=16a^2b-8a^2b^2
7x^2+14xy-5xy-10y^2= 7x^2+9xy-10y^2
7x^2+14xy-5xy-10y^2= 7x^2+9xy-10y^2
а что значит знак ^
Квадрат
В квадрате
^2
спасибо
В кубе ^3
Не за что
Автор ответа:
1
Решение во вложении:
Приложения:
Похожие вопросы
Предмет: Английский язык,
автор: morozova080282
Предмет: Физика,
автор: vasyapupkin221
Предмет: Математика,
автор: izobretary
Предмет: Математика,
автор: Аноним
Предмет: Математика,
автор: yfjgdjuch